mp-2232-2/CS2/anharm

Harmonic properties

../../_images/fig_bandos_pr13546.png

(a) Phonon dispersion with participation ratio and DOS

../../_images/fig_thermo13546.png

(b) Thermodynamic properties

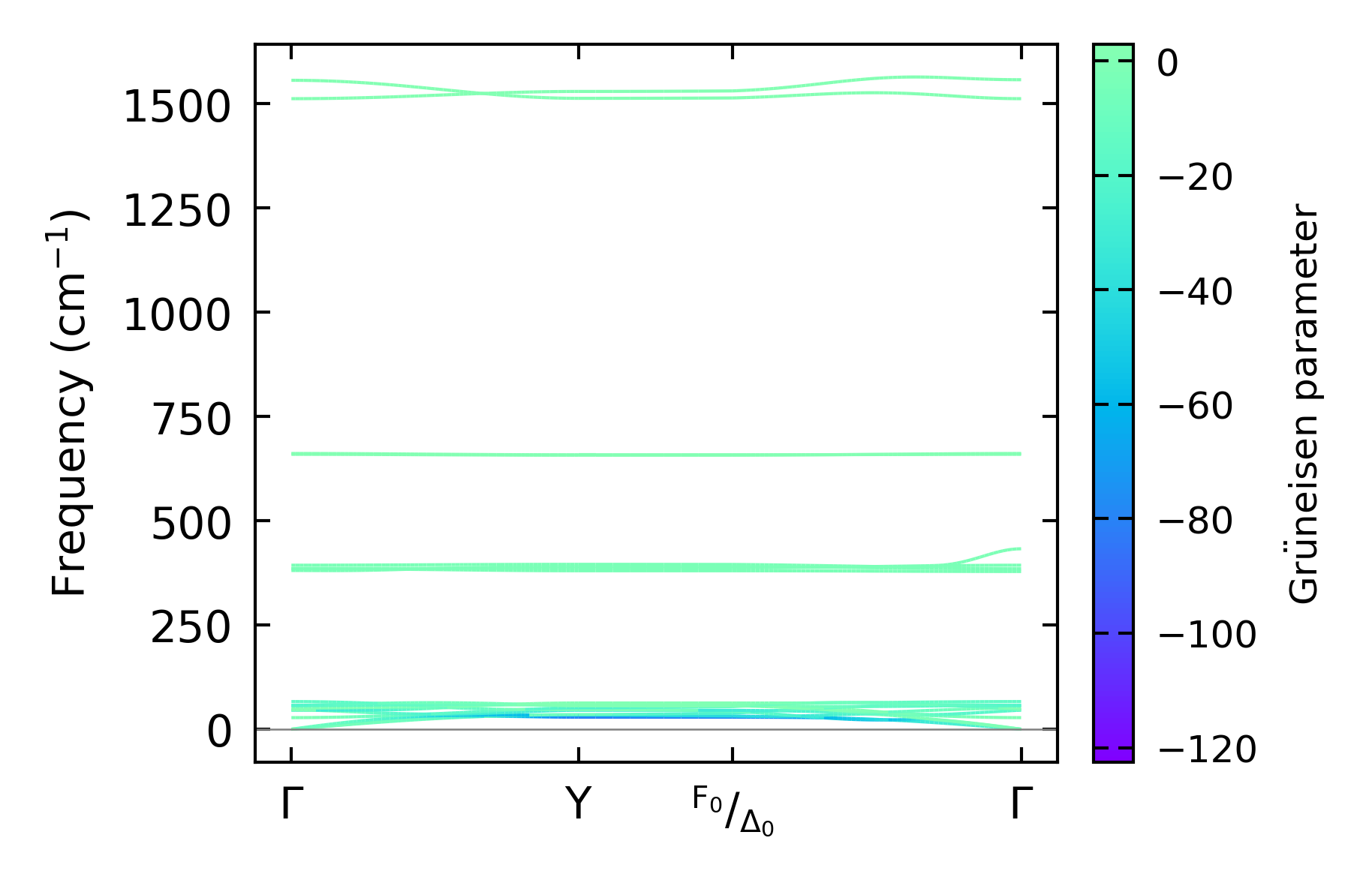
Grüneisen parameters

../../_images/fig_gru_all5737.png

(a) Grüneisen parameters

../../_images/fig_gruneisen5737.png

(b) Phonon dispersion with Grüneisen parameters

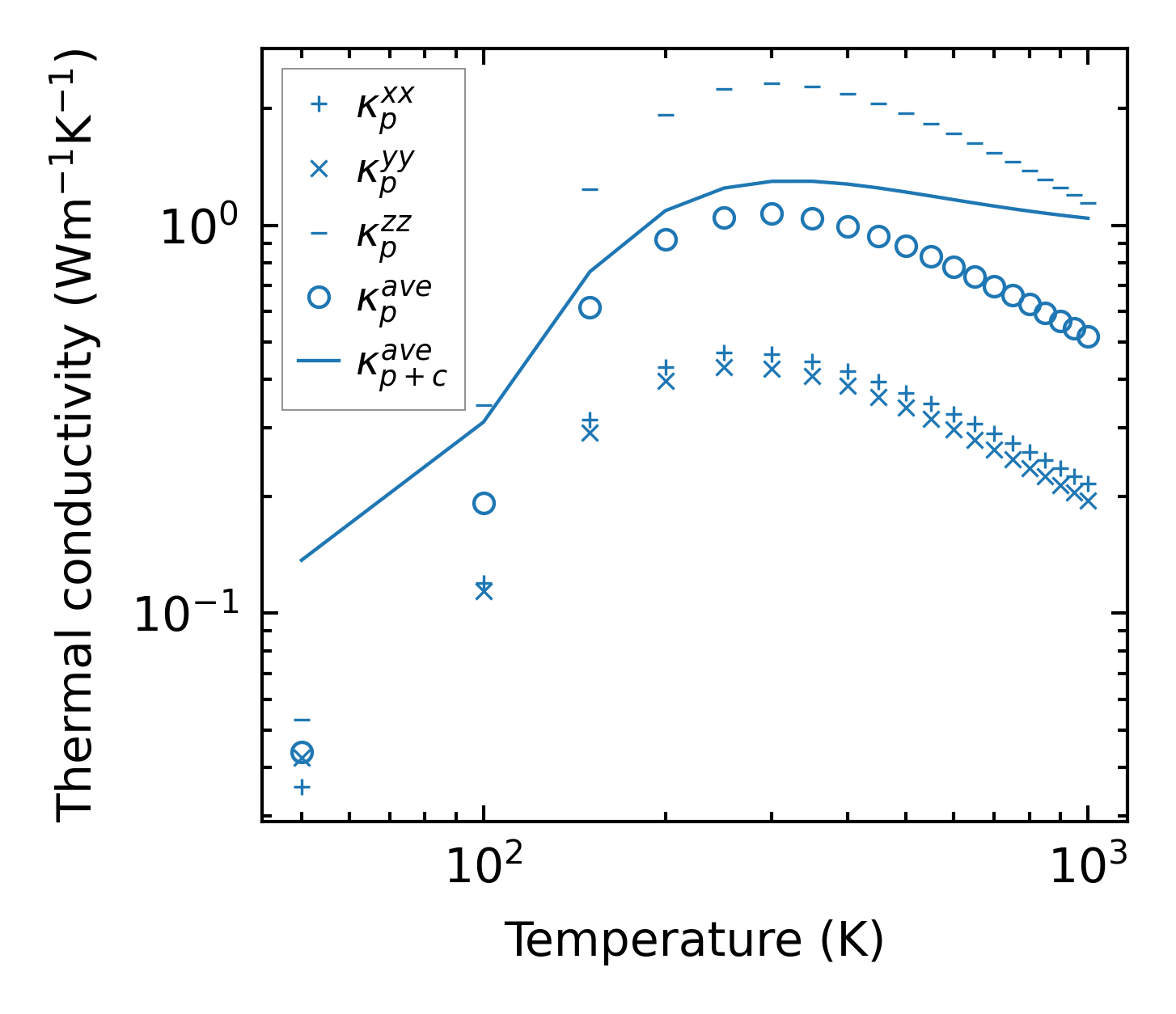
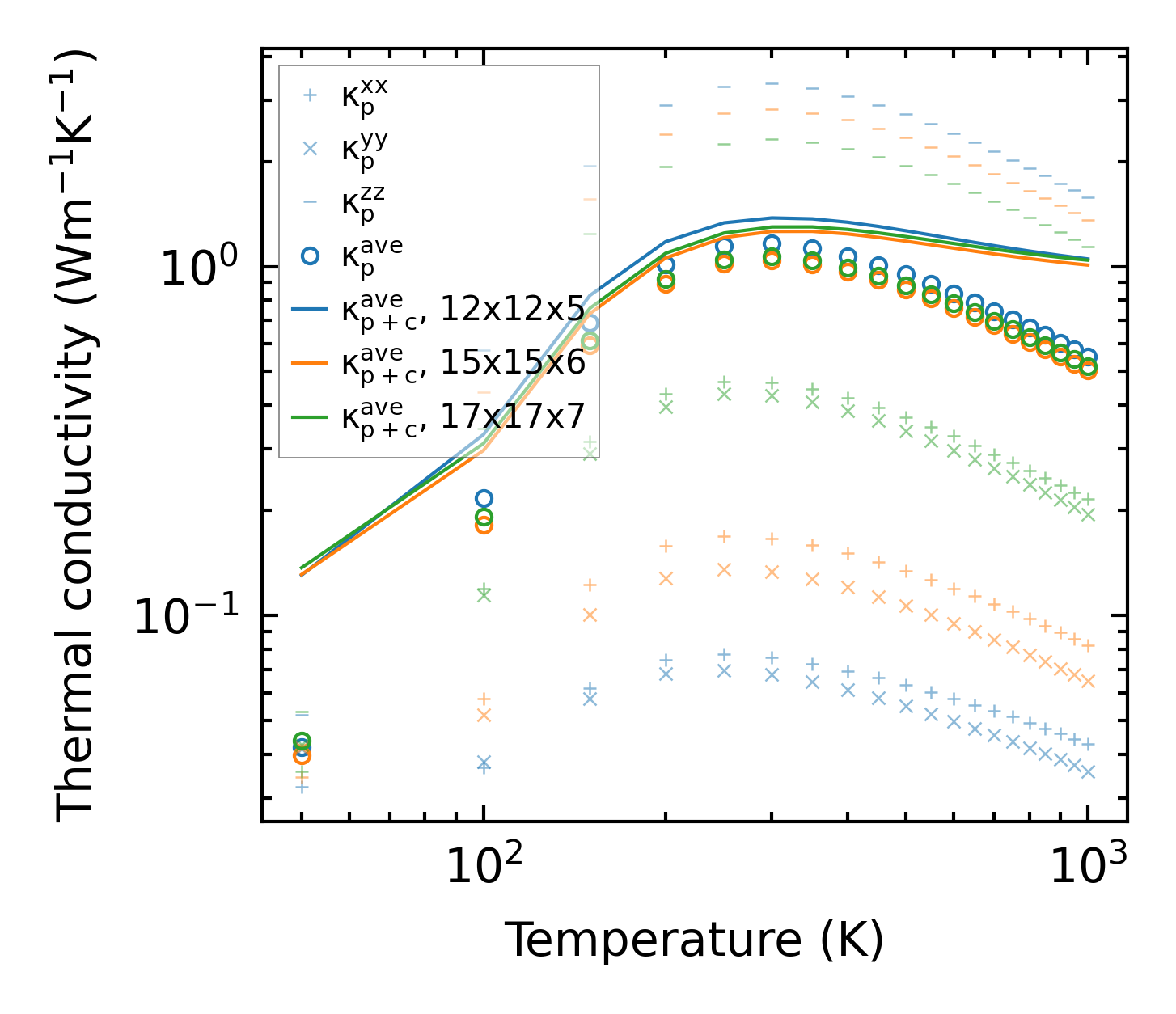
Thermal conductivity

3-phonon (LASSO) — q-mesh: 17x17x7, supercell: 2x3x2

../../_images/fig_kappa10786.png

(a) Temperature-dependent lattice thermal conductivity

../../_images/fig_kappa_vs_grain_size5806.png

(b) Peierls lattice thermal conductivity w.r.t grain size

Phonon lifetime and scattering rates

../../_images/fig_lifetime5682.png

(a) Phonon lifetime due to phonon-phonon scattering

../../_images/fig_scat_rates5681.png

(b) Phonon scattering rates

Cumulative and spectral thermal conductivity

../../_images/fig_cumu_frequency5682.png

(a) Spectral and cumulative thermal conductivity w.r.t frequency

../../_images/fig_cumu_mfp5681.png

(b) Spectral and cumulative thermal conductivity w.r.t MFP

Force constants

../../_images/fig_fc213174.png

(a) Force constants w.r.t atomic distance

Summary

../../_images/fig_kappa10787.png

(a) Temperature-dependent lattice thermal conductivity

../../_images/fig_times22785.png

(b) Computation time