mp-2319/P2Os/anharm

Harmonic properties

../../_images/fig_bandos_pr13189.png

(a) Phonon dispersion with participation ratio and DOS

../../_images/fig_thermo13189.png

(b) Thermodynamic properties

Grüneisen parameters

../../_images/fig_gru_all5517.png

(a) Grüneisen parameters

../../_images/fig_gruneisen5517.png

(b) Phonon dispersion with Grüneisen parameters

Thermal conductivity

3-phonon (LASSO) — q-mesh: 14x12x24, supercell: 3x2x4

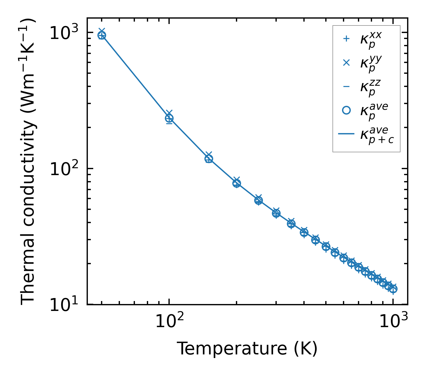
../../_images/fig_kappa10360.png

(a) Temperature-dependent lattice thermal conductivity

../../_images/fig_kappa_vs_grain_size5582.png

(b) Peierls lattice thermal conductivity w.r.t grain size

Phonon lifetime and scattering rates

../../_images/fig_lifetime5464.png

(a) Phonon lifetime due to phonon-phonon scattering

../../_images/fig_scat_rates5463.png

(b) Phonon scattering rates

Cumulative and spectral thermal conductivity

../../_images/fig_cumu_frequency5464.png

(a) Spectral and cumulative thermal conductivity w.r.t frequency

../../_images/fig_cumu_mfp5463.png

(b) Spectral and cumulative thermal conductivity w.r.t MFP

Force constants

../../_images/fig_fc212846.png

(a) Force constants w.r.t atomic distance

Summary

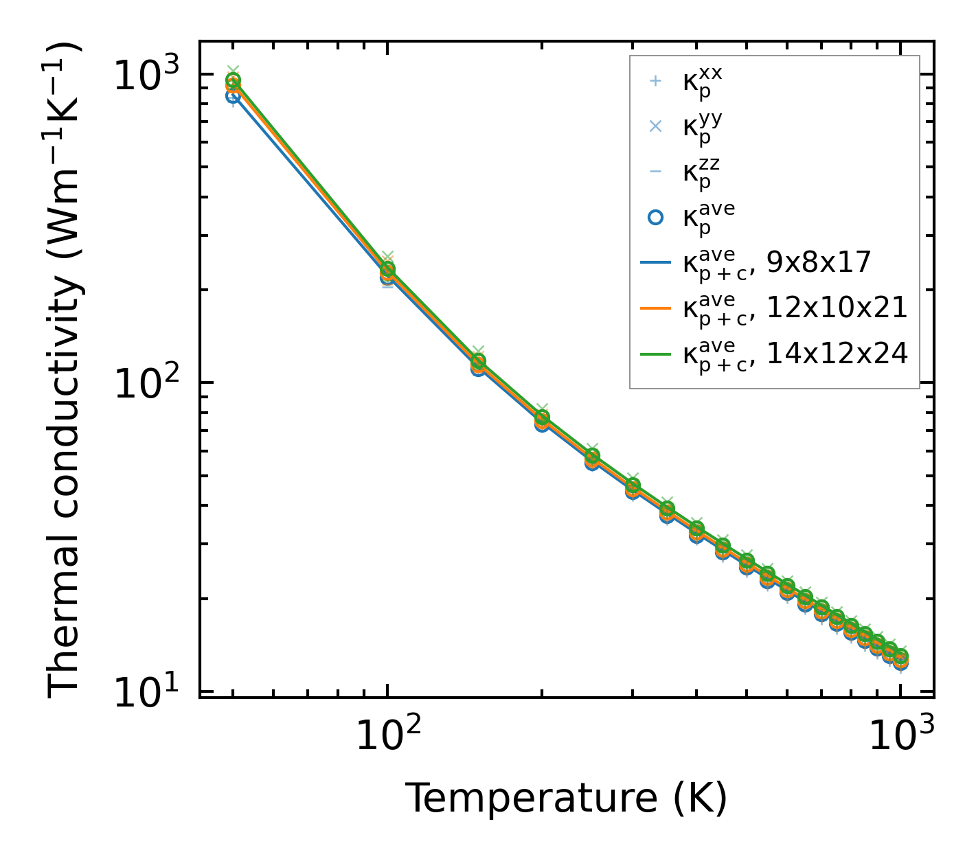
../../_images/fig_kappa10361.png

(a) Temperature-dependent lattice thermal conductivity

../../_images/fig_times22272.png

(b) Computation time