mp-2695/Sb2Os/anharm

Harmonic properties

../../_images/fig_bandos_pr13246.png

(a) Phonon dispersion with participation ratio and DOS

../../_images/fig_thermo13246.png

(b) Thermodynamic properties

Grüneisen parameters

../../_images/fig_gru_all5559.png

(a) Grüneisen parameters

../../_images/fig_gruneisen5559.png

(b) Phonon dispersion with Grüneisen parameters

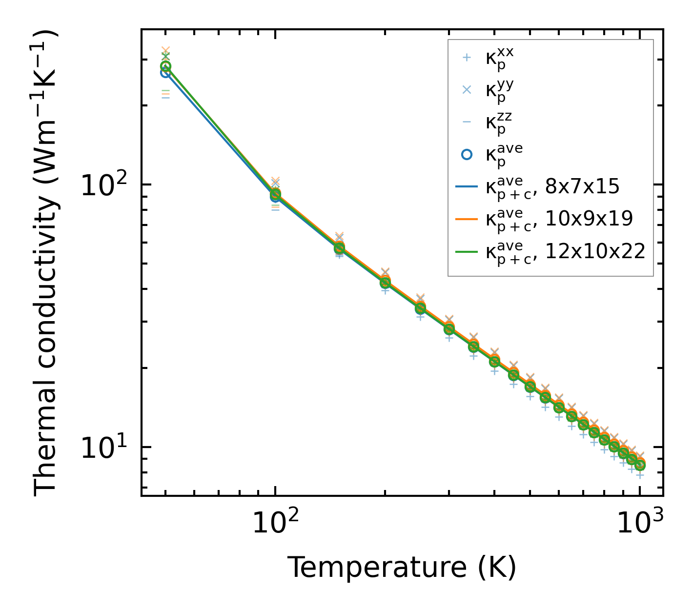
Thermal conductivity

3-phonon (LASSO) — q-mesh: 12x10x22, supercell: 3x2x4

../../_images/fig_kappa10441.png

(a) Temperature-dependent lattice thermal conductivity

../../_images/fig_kappa_vs_grain_size5623.png

(b) Peierls lattice thermal conductivity w.r.t grain size

Phonon lifetime and scattering rates

../../_images/fig_lifetime5504.png

(a) Phonon lifetime due to phonon-phonon scattering

../../_images/fig_scat_rates5503.png

(b) Phonon scattering rates

Cumulative and spectral thermal conductivity

../../_images/fig_cumu_frequency5504.png

(a) Spectral and cumulative thermal conductivity w.r.t frequency

../../_images/fig_cumu_mfp5503.png

(b) Spectral and cumulative thermal conductivity w.r.t MFP

Force constants

../../_images/fig_fc212892.png

(a) Force constants w.r.t atomic distance

Summary

../../_images/fig_kappa10442.png

(a) Temperature-dependent lattice thermal conductivity

../../_images/fig_times22347.png

(b) Computation time