mp-2552/TeO3/anharm

Harmonic properties

../../_images/fig_bandos_pr13224.png

(a) Phonon dispersion with participation ratio and DOS

../../_images/fig_thermo13224.png

(b) Thermodynamic properties

Grüneisen parameters

../../_images/fig_gru_all5542.png

(a) Grüneisen parameters

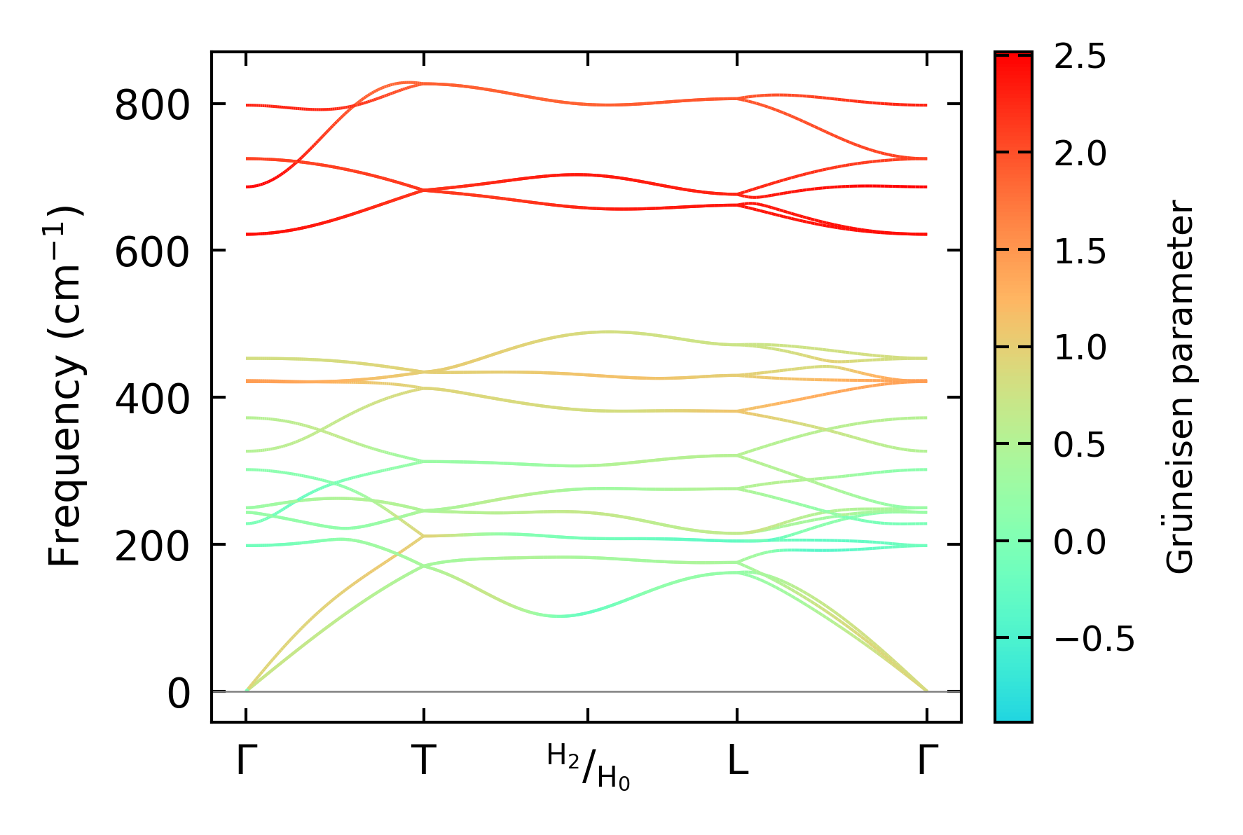
../../_images/fig_gruneisen5542.png

(b) Phonon dispersion with Grüneisen parameters

Thermal conductivity

3-phonon (LASSO) — q-mesh: 15x15x15, supercell: 2x2x1

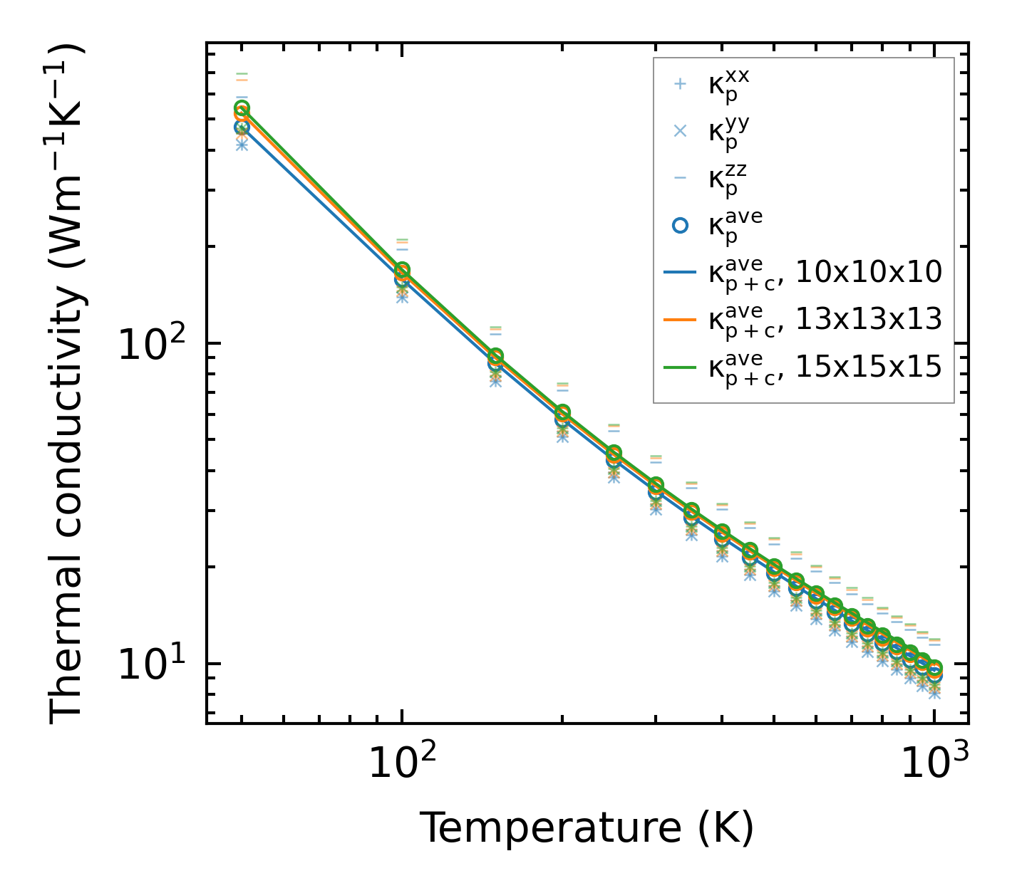
../../_images/fig_kappa10409.png

(a) Temperature-dependent lattice thermal conductivity

../../_images/fig_kappa_vs_grain_size5607.png

(b) Peierls lattice thermal conductivity w.r.t grain size

Phonon lifetime and scattering rates

../../_images/fig_lifetime5488.png

(a) Phonon lifetime due to phonon-phonon scattering

../../_images/fig_scat_rates5487.png

(b) Phonon scattering rates

Cumulative and spectral thermal conductivity

../../_images/fig_cumu_frequency5488.png

(a) Spectral and cumulative thermal conductivity w.r.t frequency

../../_images/fig_cumu_mfp5487.png

(b) Spectral and cumulative thermal conductivity w.r.t MFP

Force constants

../../_images/fig_fc212875.png

(a) Force constants w.r.t atomic distance

Summary

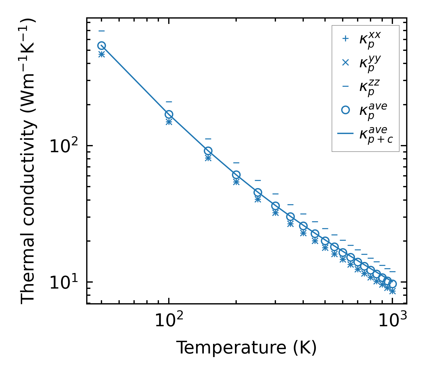
../../_images/fig_kappa10410.png

(a) Temperature-dependent lattice thermal conductivity

../../_images/fig_times22316.png

(b) Computation time