mp-2173-2/P2O5/anharm

Equation of state

../../_images/fig_bm6763.png

(a) Equation of state

Harmonic properties

../../_images/fig_bandos_pr13536.png

(a) Phonon dispersion with participation ratio and DOS

../../_images/fig_thermo13536.png

(b) Thermodynamic properties

Grüneisen parameters

../../_images/fig_gru_all5731.png

(a) Grüneisen parameters

../../_images/fig_gruneisen5731.png

(b) Phonon dispersion with Grüneisen parameters

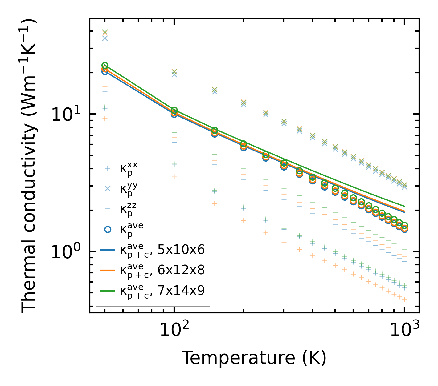
Thermal conductivity

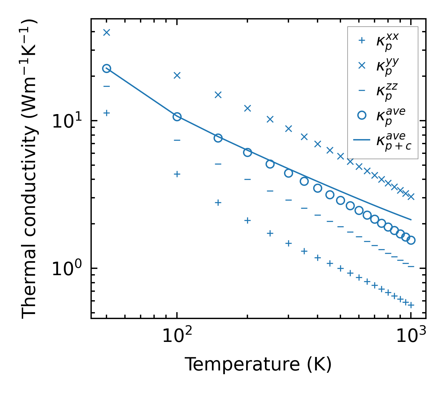
3-phonon (LASSO) — q-mesh: 7x14x9, supercell: 1x2x2

../../_images/fig_kappa10774.png

(a) Temperature-dependent lattice thermal conductivity

../../_images/fig_kappa_vs_grain_size5799.png

(b) Peierls lattice thermal conductivity w.r.t grain size

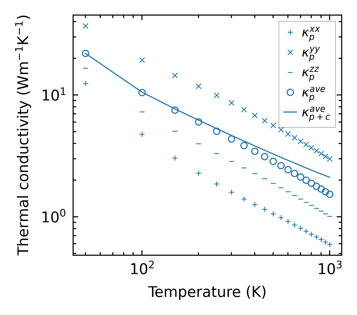
3-phonon (LASSO), supercell 2x2x2 — q-mesh: 7x14x9, supercell: 2x2x2

../../_images/fig_kappa10775.png

(a) Temperature-dependent lattice thermal conductivity

../../_images/fig_kappa_vs_grain_size5800.png

(b) Peierls lattice thermal conductivity w.r.t grain size

Phonon lifetime and scattering rates

../../_images/fig_lifetime5676.png

(a) Phonon lifetime due to phonon-phonon scattering

../../_images/fig_scat_rates5675.png

(b) Phonon scattering rates

Cumulative and spectral thermal conductivity

../../_images/fig_cumu_frequency5676.png

(a) Spectral and cumulative thermal conductivity w.r.t frequency

../../_images/fig_cumu_mfp5675.png

(b) Spectral and cumulative thermal conductivity w.r.t MFP

Force constants

../../_images/fig_fc213167.png

(a) Force constants w.r.t atomic distance

Summary

../../_images/fig_kappa10776.png

(a) Temperature-dependent lattice thermal conductivity

../../_images/fig_times22774.png

(b) Computation time