mp-2600-2/BaTe/anharm

Equation of state

../../_images/fig_bm6611.png

(a) Equation of state

Harmonic properties

../../_images/fig_bandos_pr13230.png

(a) Phonon dispersion with participation ratio and DOS

../../_images/fig_bandos17611.png

(b) Phonon dispersion and DOS

../../_images/fig_thermo13230.png

(c) Thermodynamic properties

Grüneisen parameters

../../_images/fig_gru_all5546.png

(a) Grüneisen parameters

../../_images/fig_gruneisen5546.png

(b) Phonon dispersion with Grüneisen parameters

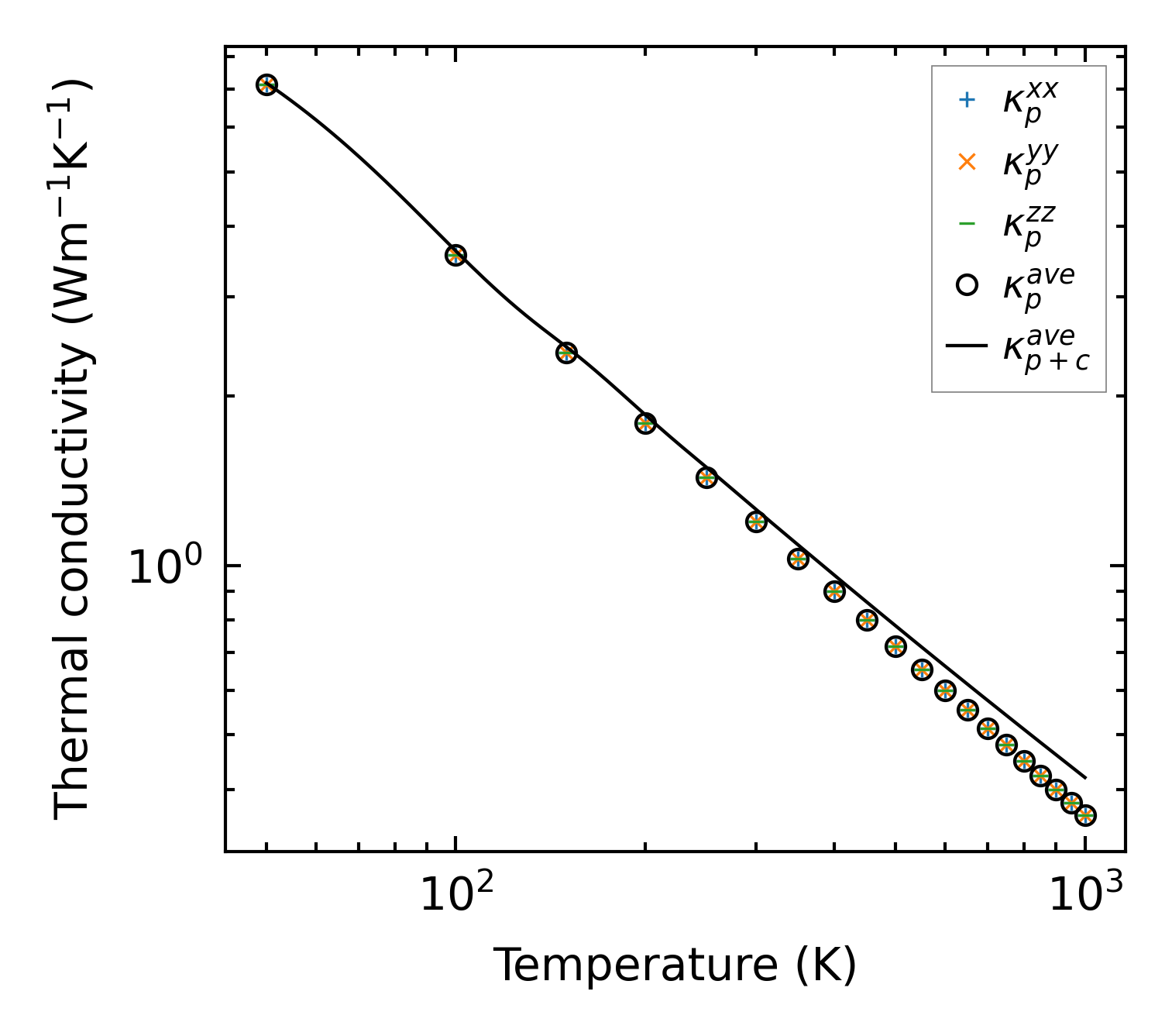
Thermal conductivity

3-phonon, supercell 5x5x5 — q-mesh: 17x17x17, supercell: 5x5x5

../../_images/fig_kappa10417.png

(a) Temperature-dependent lattice thermal conductivity

Force constants

../../_images/fig_fc3350.png

(a) Force constants w.r.t atomic distance

Summary

../../_images/fig_times22323.png

(a) Computation time