mp-2472/SrO/anharm

Harmonic properties

../../_images/fig_bandos_pr13212.png

(a) Phonon dispersion with participation ratio and DOS

../../_images/fig_thermo13212.png

(b) Thermodynamic properties

Grüneisen parameters

../../_images/fig_gru_all5532.png

(a) Grüneisen parameters

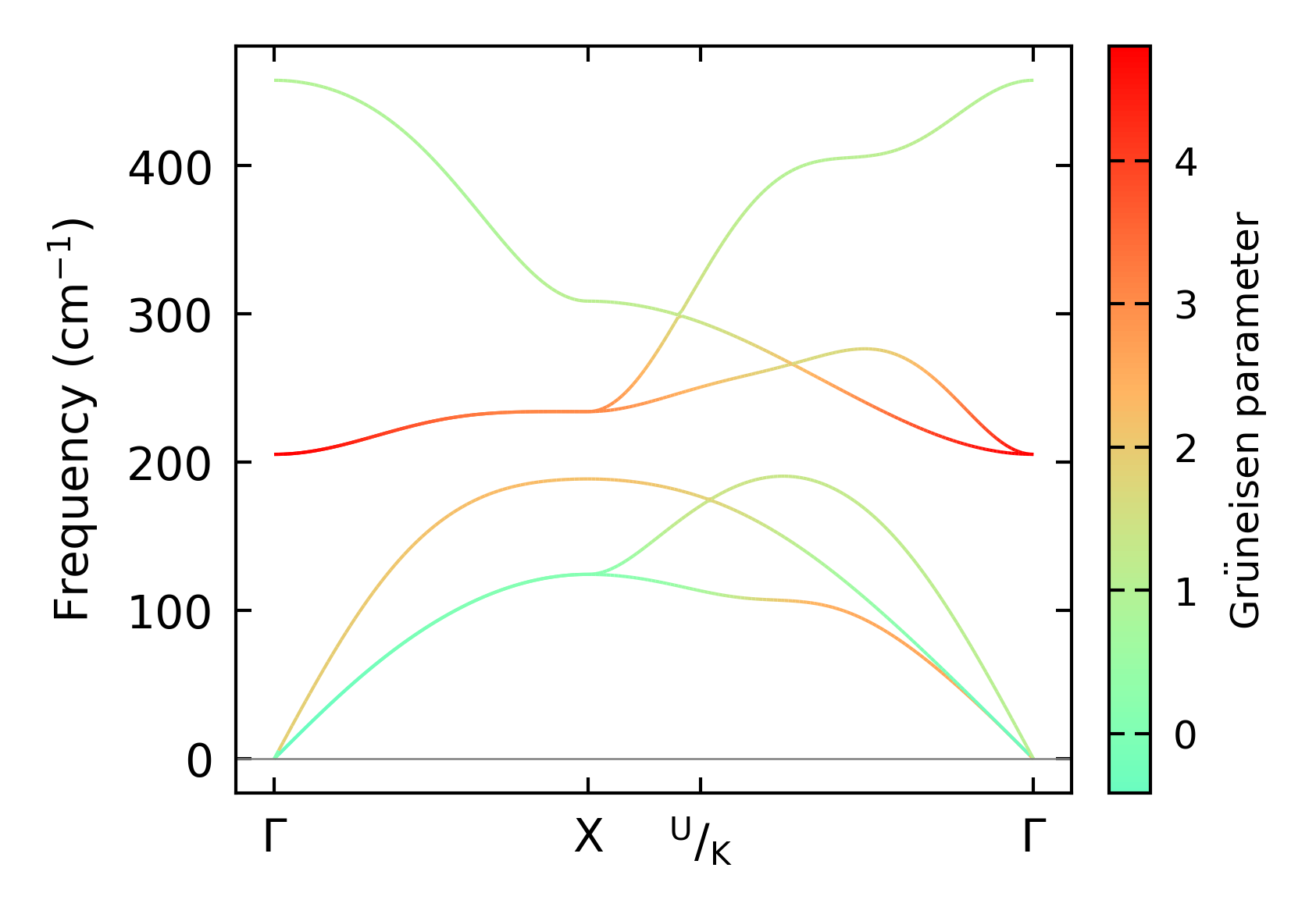
../../_images/fig_gruneisen5532.png

(b) Phonon dispersion with Grüneisen parameters

Thermal conductivity

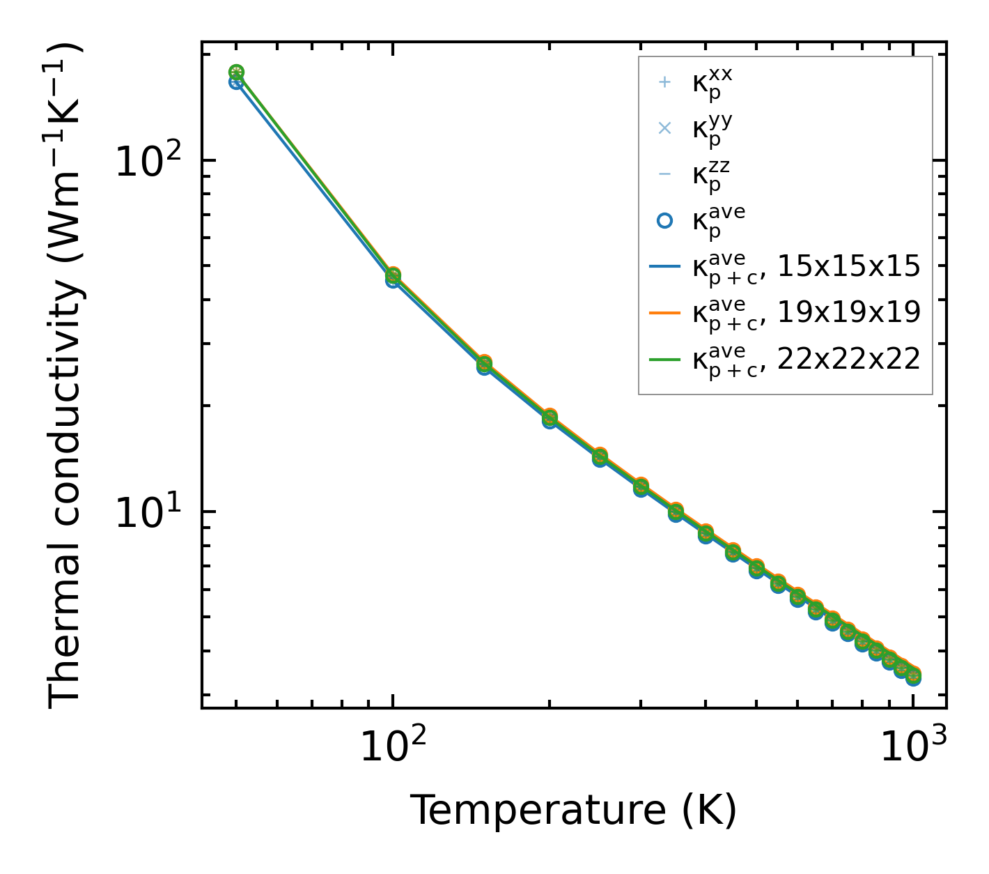
3-phonon — q-mesh: 22x22x22, supercell: 2x2x2

../../_images/fig_kappa10389.png

(a) Temperature-dependent lattice thermal conductivity

../../_images/fig_kappa_vs_grain_size5597.png

(b) Peierls lattice thermal conductivity w.r.t grain size

Phonon lifetime and scattering rates

../../_images/fig_lifetime5478.png

(a) Phonon lifetime due to phonon-phonon scattering

../../_images/fig_scat_rates5477.png

(b) Phonon scattering rates

Cumulative and spectral thermal conductivity

../../_images/fig_cumu_frequency5478.png

(a) Spectral and cumulative thermal conductivity w.r.t frequency

../../_images/fig_cumu_mfp5477.png

(b) Spectral and cumulative thermal conductivity w.r.t MFP

Force constants

../../_images/fig_fc3346.png

(a) Force constants w.r.t atomic distance

Summary

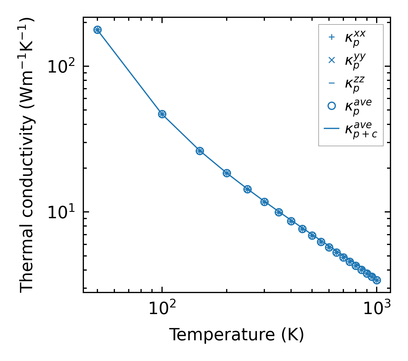
../../_images/fig_kappa10390.png

(a) Temperature-dependent lattice thermal conductivity

../../_images/fig_times22302.png

(b) Computation time