mp-2969/CsSbSe2/anharm

Harmonic properties

../../_images/fig_bandos_pr13291.png

(a) Phonon dispersion with participation ratio and DOS

../../_images/fig_thermo13291.png

(b) Thermodynamic properties

Grüneisen parameters

../../_images/fig_gru_all5593.png

(a) Grüneisen parameters

../../_images/fig_gruneisen5593.png

(b) Phonon dispersion with Grüneisen parameters

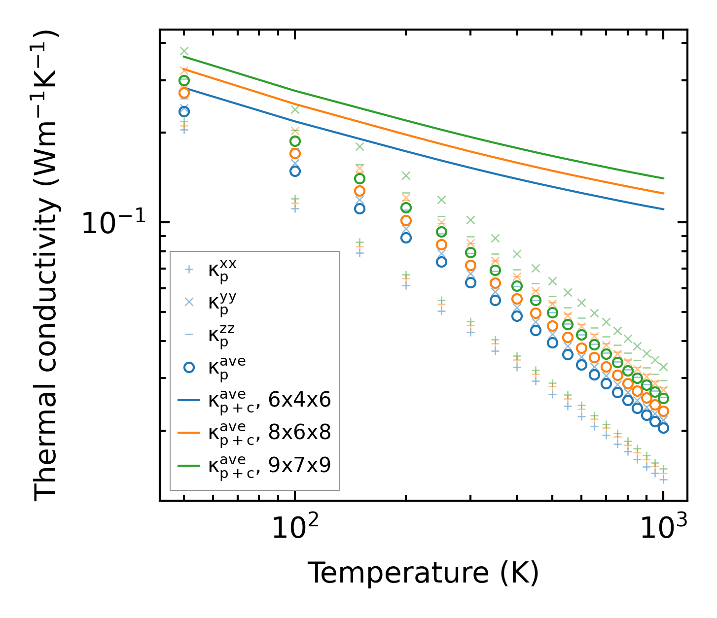
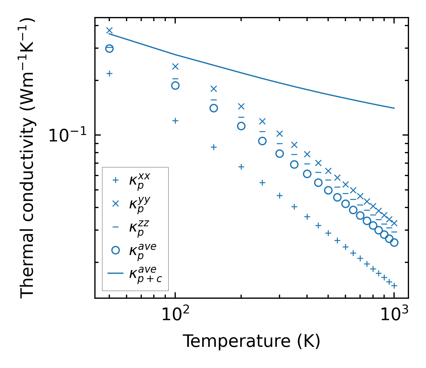
Thermal conductivity

3-phonon (LASSO) — q-mesh: 9x7x9, supercell: 2x2x2

../../_images/fig_kappa10507.png

(a) Temperature-dependent lattice thermal conductivity

../../_images/fig_kappa_vs_grain_size5657.png

(b) Peierls lattice thermal conductivity w.r.t grain size

Phonon lifetime and scattering rates

../../_images/fig_lifetime5538.png

(a) Phonon lifetime due to phonon-phonon scattering

../../_images/fig_scat_rates5537.png

(b) Phonon scattering rates

Cumulative and spectral thermal conductivity

../../_images/fig_cumu_frequency5538.png

(a) Spectral and cumulative thermal conductivity w.r.t frequency

../../_images/fig_cumu_mfp5537.png

(b) Spectral and cumulative thermal conductivity w.r.t MFP

Force constants

../../_images/fig_fc212933.png

(a) Force constants w.r.t atomic distance

Summary

../../_images/fig_kappa10508.png

(a) Temperature-dependent lattice thermal conductivity

../../_images/fig_times22410.png

(b) Computation time