mp-2530/Li2Te/anharm

Harmonic properties

../../_images/fig_bandos_pr13221.png

(a) Phonon dispersion with participation ratio and DOS

../../_images/fig_thermo13221.png

(b) Thermodynamic properties

Grüneisen parameters

../../_images/fig_gru_all5539.png

(a) Grüneisen parameters

../../_images/fig_gruneisen5539.png

(b) Phonon dispersion with Grüneisen parameters

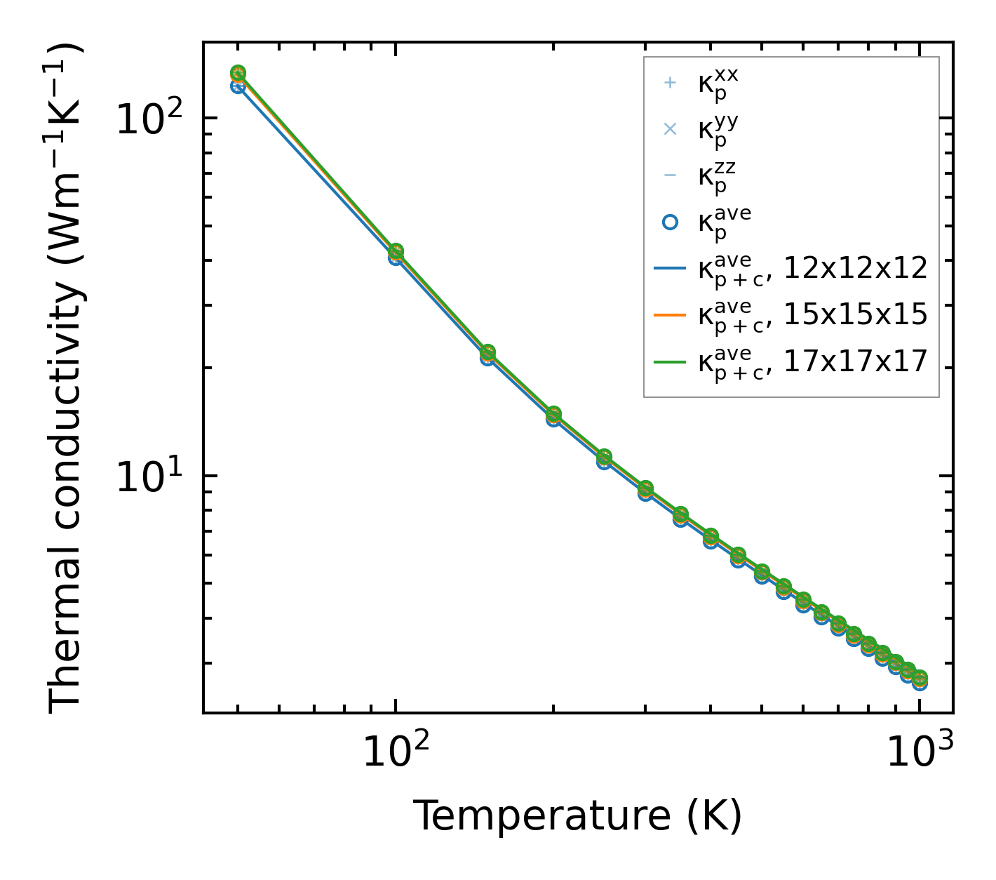
Thermal conductivity

3-phonon — q-mesh: 17x17x17, supercell: 2x2x2

../../_images/fig_kappa10403.png

(a) Temperature-dependent lattice thermal conductivity

../../_images/fig_kappa_vs_grain_size5604.png

(b) Peierls lattice thermal conductivity w.r.t grain size

Phonon lifetime and scattering rates

../../_images/fig_lifetime5485.png

(a) Phonon lifetime due to phonon-phonon scattering

../../_images/fig_scat_rates5484.png

(b) Phonon scattering rates

Cumulative and spectral thermal conductivity

../../_images/fig_cumu_frequency5485.png

(a) Spectral and cumulative thermal conductivity w.r.t frequency

../../_images/fig_cumu_mfp5484.png

(b) Spectral and cumulative thermal conductivity w.r.t MFP

Force constants

../../_images/fig_fc3348.png

(a) Force constants w.r.t atomic distance

Summary

../../_images/fig_kappa10404.png

(a) Temperature-dependent lattice thermal conductivity

../../_images/fig_times22313.png

(b) Computation time