mp-2605/CaO/anharm

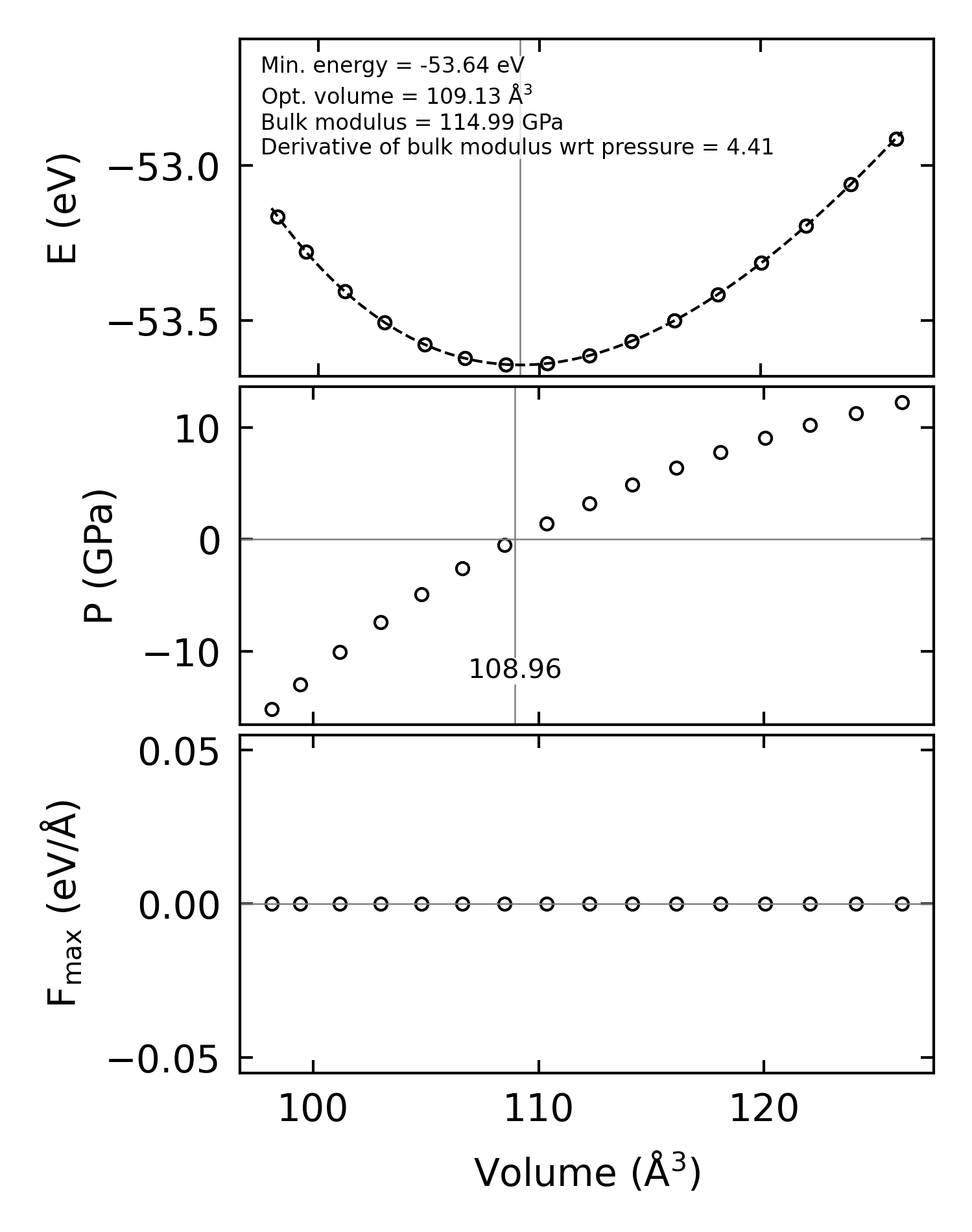
Equation of state

../../_images/fig_bm6612.png

(a) Equation of state

Harmonic properties

../../_images/fig_bandos_pr13232.png

(a) Phonon dispersion with participation ratio and DOS

../../_images/fig_thermo13232.png

(b) Thermodynamic properties

Grüneisen parameters

../../_images/fig_gru_all5548.png

(a) Grüneisen parameters

../../_images/fig_gruneisen5548.png

(b) Phonon dispersion with Grüneisen parameters

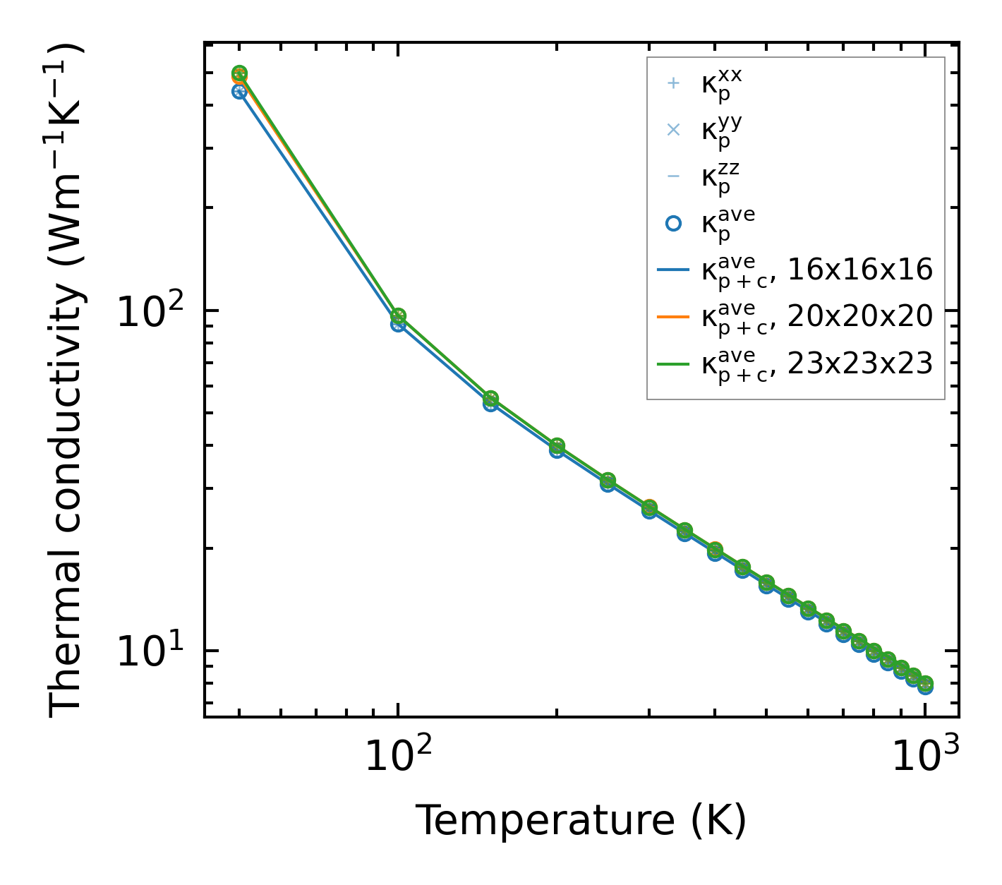
Thermal conductivity

3-phonon (LASSO) — q-mesh: 23x23x23, supercell: 2x2x2

../../_images/fig_kappa10420.png

(a) Temperature-dependent lattice thermal conductivity

../../_images/fig_kappa_vs_grain_size5612.png

(b) Peierls lattice thermal conductivity w.r.t grain size

Phonon lifetime and scattering rates

../../_images/fig_lifetime5493.png

(a) Phonon lifetime due to phonon-phonon scattering

../../_images/fig_scat_rates5492.png

(b) Phonon scattering rates

Cumulative and spectral thermal conductivity

../../_images/fig_cumu_frequency5493.png

(a) Spectral and cumulative thermal conductivity w.r.t frequency

../../_images/fig_cumu_mfp5492.png

(b) Spectral and cumulative thermal conductivity w.r.t MFP

Force constants

../../_images/fig_fc212881.png

(a) Force constants w.r.t atomic distance

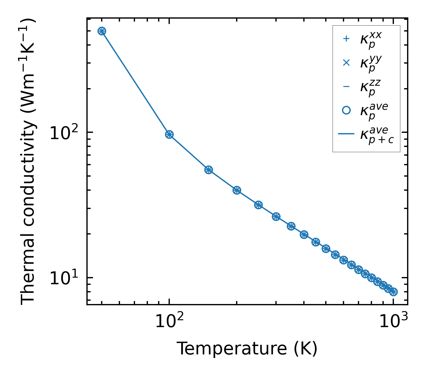
Summary

../../_images/fig_kappa10421.png

(a) Temperature-dependent lattice thermal conductivity

../../_images/fig_times22325.png

(b) Computation time