mp-2232/CS2/anharm

Equation of state

../../_images/fig_bm6767.png

(a) Equation of state

Harmonic properties

../../_images/fig_bandos_pr13545.png

(a) Phonon dispersion with participation ratio and DOS

../../_images/fig_thermo13545.png

(b) Thermodynamic properties

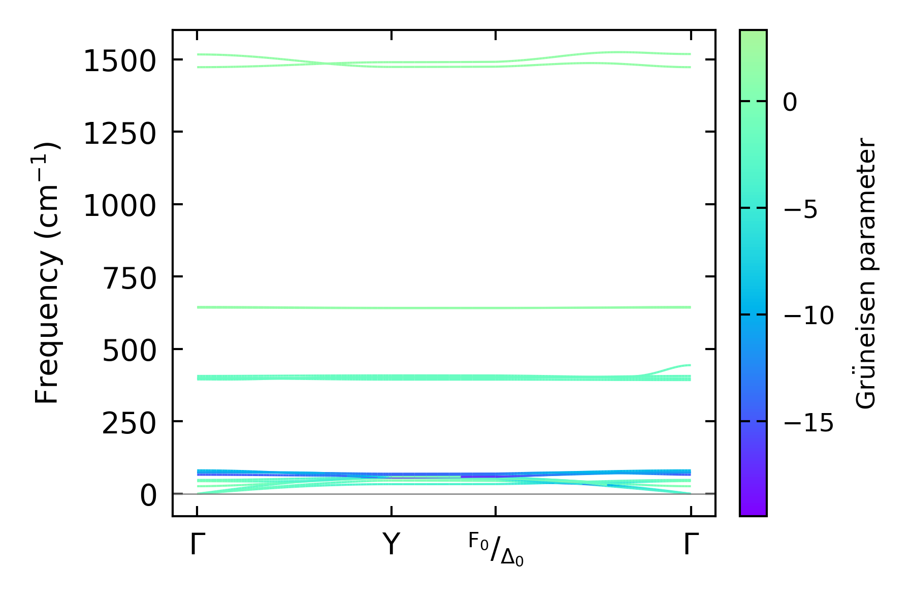
Grüneisen parameters

../../_images/fig_gru_all5736.png

(a) Grüneisen parameters

../../_images/fig_gruneisen5736.png

(b) Phonon dispersion with Grüneisen parameters

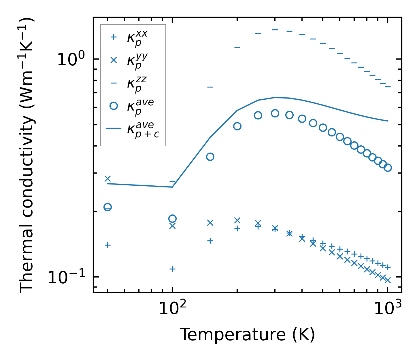
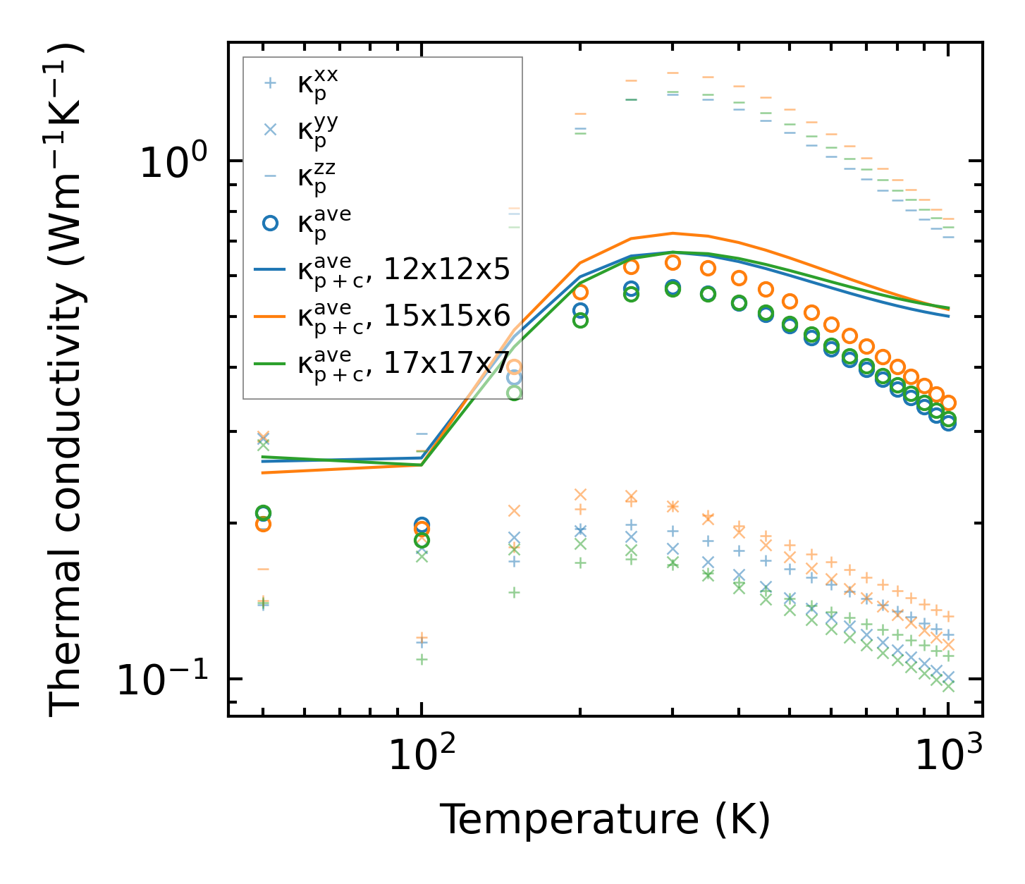
Thermal conductivity

3-phonon (LASSO) — q-mesh: 17x17x7, supercell: 2x3x2

../../_images/fig_kappa10784.png

(a) Temperature-dependent lattice thermal conductivity

../../_images/fig_kappa_vs_grain_size5805.png

(b) Peierls lattice thermal conductivity w.r.t grain size

Phonon lifetime and scattering rates

../../_images/fig_lifetime5681.png

(a) Phonon lifetime due to phonon-phonon scattering

../../_images/fig_scat_rates5680.png

(b) Phonon scattering rates

Cumulative and spectral thermal conductivity

../../_images/fig_cumu_frequency5681.png

(a) Spectral and cumulative thermal conductivity w.r.t frequency

../../_images/fig_cumu_mfp5680.png

(b) Spectral and cumulative thermal conductivity w.r.t MFP

Force constants

../../_images/fig_fc213173.png

(a) Force constants w.r.t atomic distance

Summary

../../_images/fig_kappa10785.png

(a) Temperature-dependent lattice thermal conductivity

../../_images/fig_times22784.png

(b) Computation time