mp-2826/Lu2S3/anharm

Harmonic properties

../../_images/fig_bandos_pr13260.png

(a) Phonon dispersion with participation ratio and DOS

../../_images/fig_thermo13260.png

(b) Thermodynamic properties

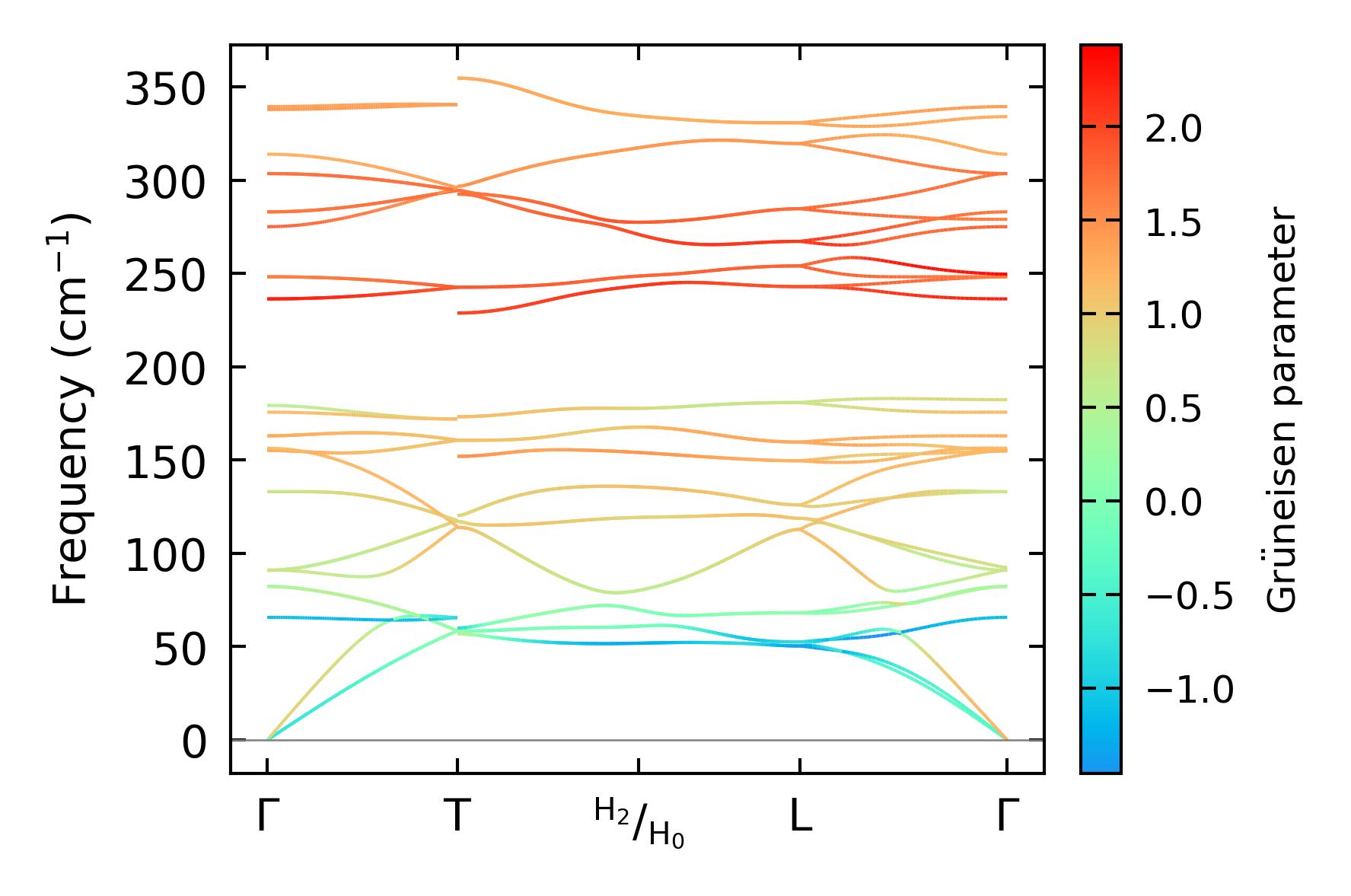
Grüneisen parameters

../../_images/fig_gru_all5570.png

(a) Grüneisen parameters

../../_images/fig_gruneisen5570.png

(b) Phonon dispersion with Grüneisen parameters

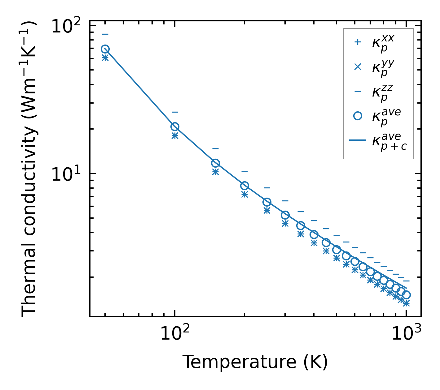
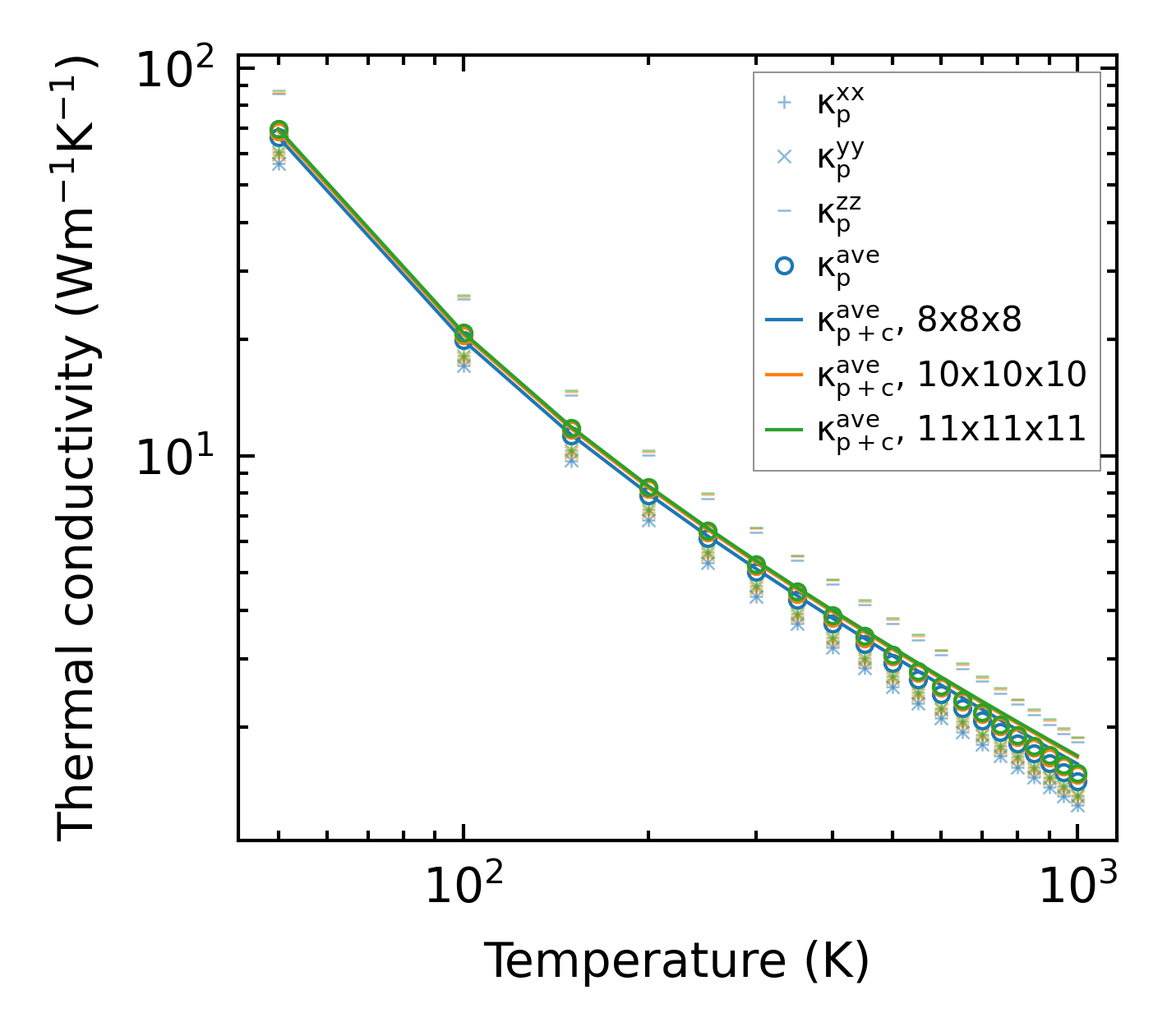
Thermal conductivity

3-phonon (LASSO) — q-mesh: 11x11x11, supercell: 2x2x1

../../_images/fig_kappa10463.png

(a) Temperature-dependent lattice thermal conductivity

../../_images/fig_kappa_vs_grain_size5634.png

(b) Peierls lattice thermal conductivity w.r.t grain size

Phonon lifetime and scattering rates

../../_images/fig_lifetime5515.png

(a) Phonon lifetime due to phonon-phonon scattering

../../_images/fig_scat_rates5514.png

(b) Phonon scattering rates

Cumulative and spectral thermal conductivity

../../_images/fig_cumu_frequency5515.png

(a) Spectral and cumulative thermal conductivity w.r.t frequency

../../_images/fig_cumu_mfp5514.png

(b) Spectral and cumulative thermal conductivity w.r.t MFP

Force constants

../../_images/fig_fc212904.png

(a) Force constants w.r.t atomic distance

Summary

../../_images/fig_kappa10464.png

(a) Temperature-dependent lattice thermal conductivity

../../_images/fig_times22369.png

(b) Computation time