mp-2201/PbSe/anharm

Equation of state

../../_images/fig_bm6766.png

(a) Equation of state

Harmonic properties

../../_images/fig_bandos_pr13541.png

(a) Phonon dispersion with participation ratio and DOS

../../_images/fig_bandos17903.png

(b) Phonon dispersion and DOS

../../_images/fig_thermo13541.png

(c) Thermodynamic properties

Grüneisen parameters

../../_images/fig_gru_all5733.png

(a) Grüneisen parameters

../../_images/fig_gruneisen5733.png

(b) Phonon dispersion with Grüneisen parameters

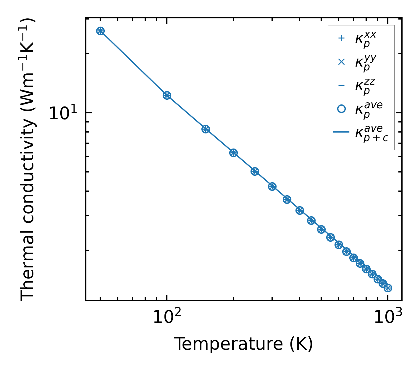
Thermal conductivity

3-phonon, supercell 3x3x3 — q-mesh: 18x18x18, supercell: 3x3x3

../../_images/fig_kappa10779.png

(a) Temperature-dependent lattice thermal conductivity

../../_images/fig_kappa_vs_grain_size5802.png

(b) Peierls lattice thermal conductivity w.r.t grain size

Phonon lifetime and scattering rates

../../_images/fig_lifetime5678.png

(a) Phonon lifetime due to phonon-phonon scattering

../../_images/fig_scat_rates5677.png

(b) Phonon scattering rates

Cumulative and spectral thermal conductivity

../../_images/fig_cumu_frequency5678.png

(a) Spectral and cumulative thermal conductivity w.r.t frequency

../../_images/fig_cumu_mfp5677.png

(b) Spectral and cumulative thermal conductivity w.r.t MFP

Force constants

../../_images/fig_fc3371.png

(a) Force constants w.r.t atomic distance

Summary

../../_images/fig_times22780.png

(a) Computation time