mp-2951/CdGeO3/anharm

Equation of state

../../_images/fig_bm6635.png

(a) Equation of state

Harmonic properties

../../_images/fig_bandos_pr13284.png

(a) Phonon dispersion with participation ratio and DOS

../../_images/fig_thermo13284.png

(b) Thermodynamic properties

Grüneisen parameters

../../_images/fig_gru_all5589.png

(a) Grüneisen parameters

../../_images/fig_gruneisen5589.png

(b) Phonon dispersion with Grüneisen parameters

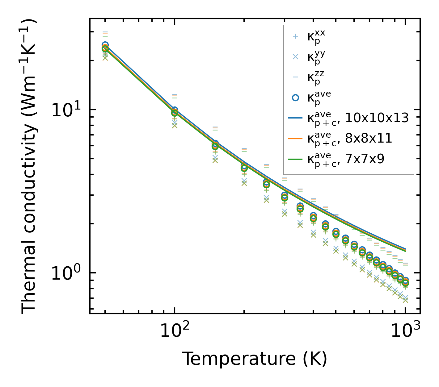
Thermal conductivity

3-phonon (LASSO) — q-mesh: 10x10x13, supercell: 1x1x2

../../_images/fig_kappa10500.png

(a) Temperature-dependent lattice thermal conductivity

../../_images/fig_kappa_vs_grain_size5653.png

(b) Peierls lattice thermal conductivity w.r.t grain size

Phonon lifetime and scattering rates

../../_images/fig_lifetime5534.png

(a) Phonon lifetime due to phonon-phonon scattering

../../_images/fig_scat_rates5533.png

(b) Phonon scattering rates

Cumulative and spectral thermal conductivity

../../_images/fig_cumu_frequency5534.png

(a) Spectral and cumulative thermal conductivity w.r.t frequency

../../_images/fig_cumu_mfp5533.png

(b) Spectral and cumulative thermal conductivity w.r.t MFP

Force constants

../../_images/fig_fc212926.png

(a) Force constants w.r.t atomic distance

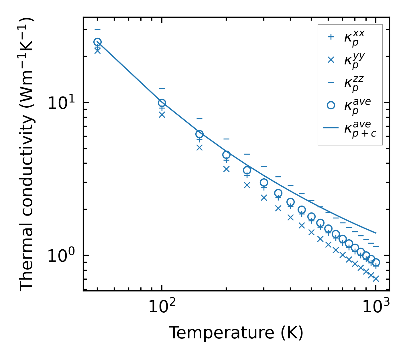
Summary

../../_images/fig_kappa10501.png

(a) Temperature-dependent lattice thermal conductivity

../../_images/fig_times22401.png

(b) Computation time