mp-2229/ZnO/anharm

Harmonic properties

../../_images/fig_bandos_pr13543.png

(a) Phonon dispersion with participation ratio and DOS

../../_images/fig_thermo13543.png

(b) Thermodynamic properties

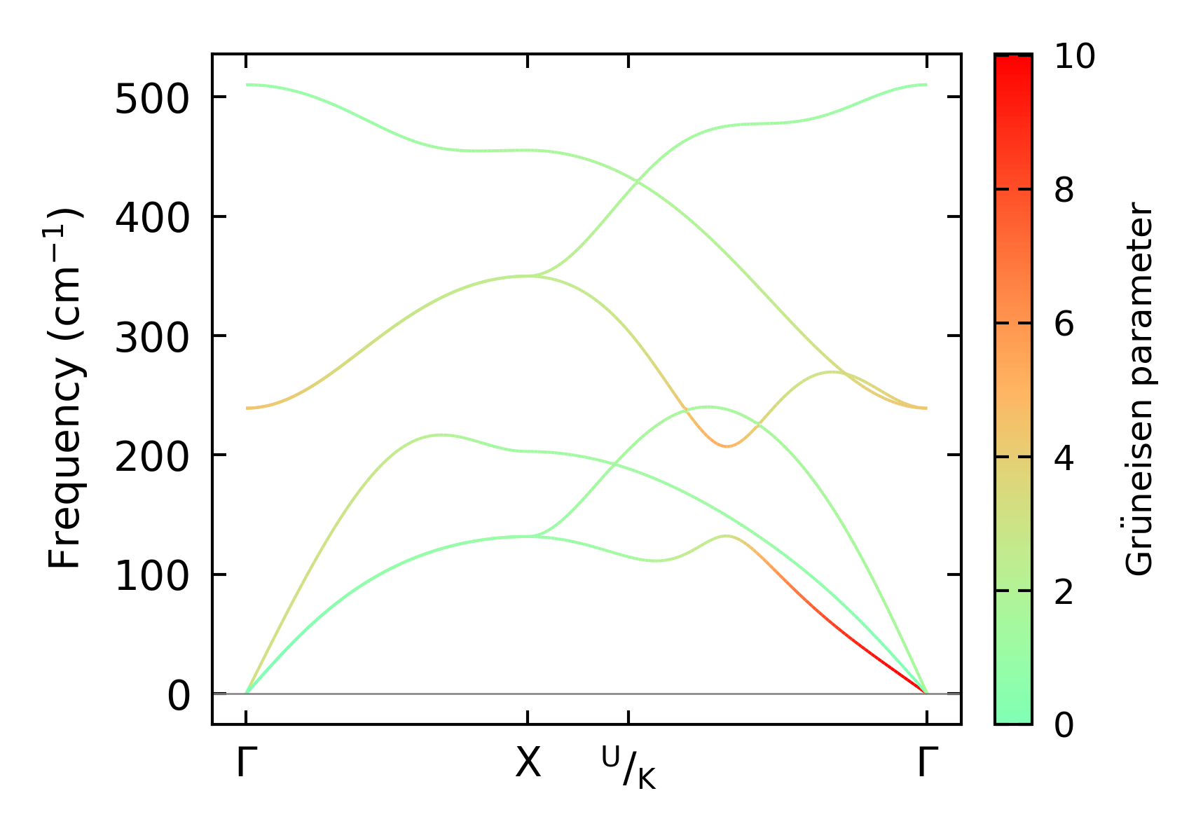
Grüneisen parameters

../../_images/fig_gru_all5734.png

(a) Grüneisen parameters

../../_images/fig_gruneisen5734.png

(b) Phonon dispersion with Grüneisen parameters

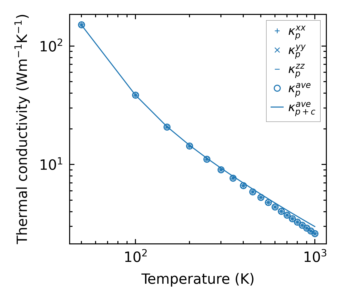
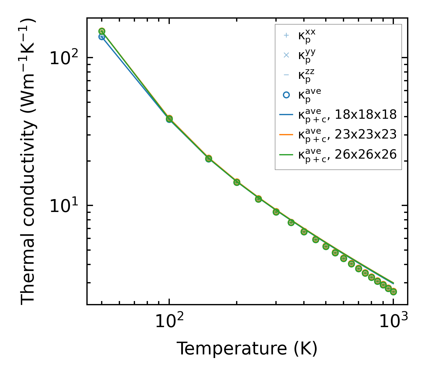
Thermal conductivity

3-phonon — q-mesh: 26x26x26, supercell: 2x2x2

../../_images/fig_kappa10780.png

(a) Temperature-dependent lattice thermal conductivity

../../_images/fig_kappa_vs_grain_size5803.png

(b) Peierls lattice thermal conductivity w.r.t grain size

Phonon lifetime and scattering rates

../../_images/fig_lifetime5679.png

(a) Phonon lifetime due to phonon-phonon scattering

../../_images/fig_scat_rates5678.png

(b) Phonon scattering rates

Cumulative and spectral thermal conductivity

../../_images/fig_cumu_frequency5679.png

(a) Spectral and cumulative thermal conductivity w.r.t frequency

../../_images/fig_cumu_mfp5678.png

(b) Spectral and cumulative thermal conductivity w.r.t MFP

Force constants

../../_images/fig_fc3372.png

(a) Force constants w.r.t atomic distance

Summary

../../_images/fig_kappa10781.png

(a) Temperature-dependent lattice thermal conductivity

../../_images/fig_times22782.png

(b) Computation time