mp-2340/Na2O2/anharm

Equation of state

../../_images/fig_bm6597.png

(a) Equation of state

Harmonic properties

../../_images/fig_bandos_pr13190.png

(a) Phonon dispersion with participation ratio and DOS

../../_images/fig_thermo13190.png

(b) Thermodynamic properties

Grüneisen parameters

../../_images/fig_gru_all5518.png

(a) Grüneisen parameters

../../_images/fig_gruneisen5518.png

(b) Phonon dispersion with Grüneisen parameters

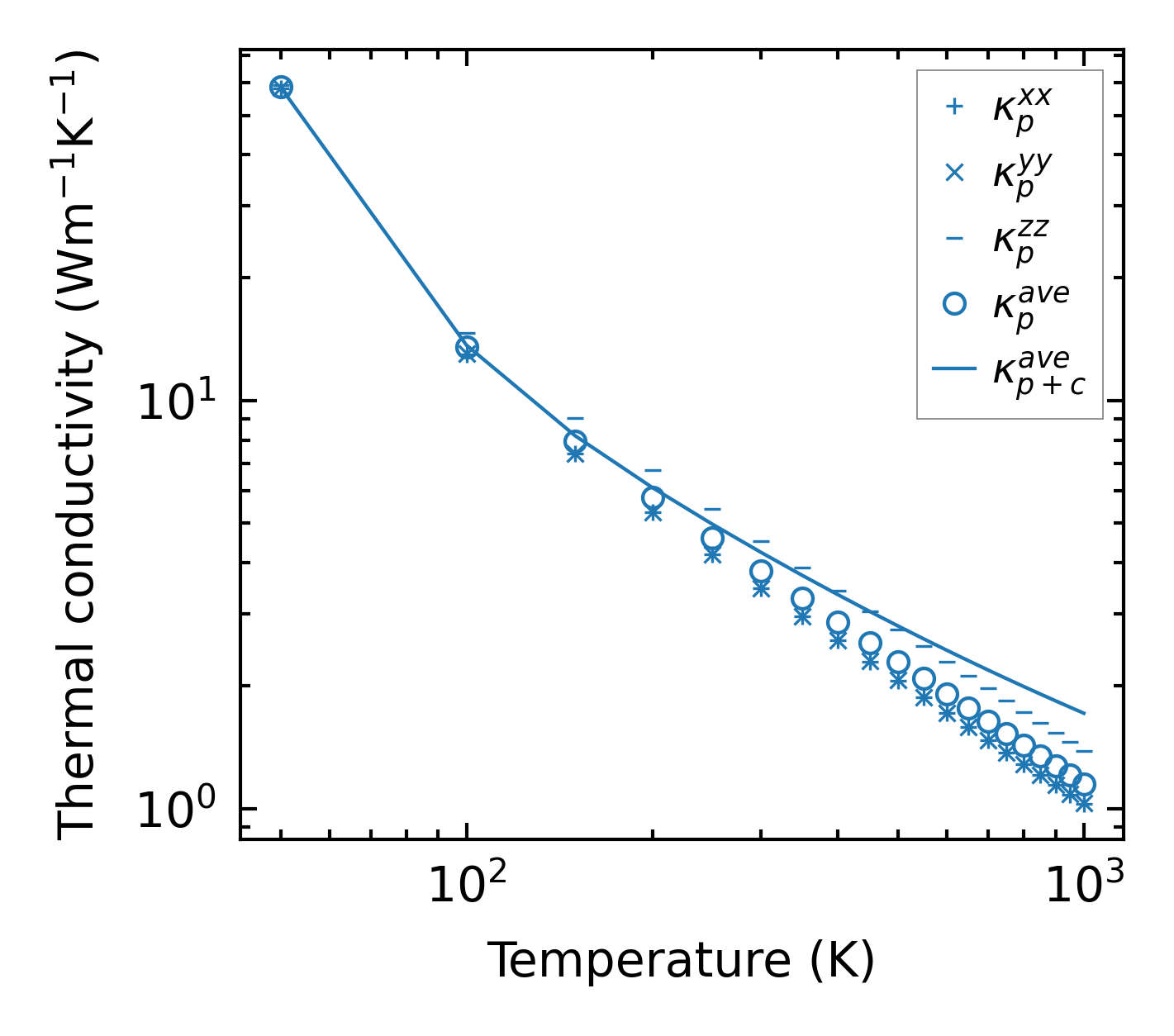
Thermal conductivity

3-phonon (LASSO) — q-mesh: 12x12x16, supercell: 2x2x3

../../_images/fig_kappa10362.png

(a) Temperature-dependent lattice thermal conductivity

../../_images/fig_kappa_vs_grain_size5583.png

(b) Peierls lattice thermal conductivity w.r.t grain size

Phonon lifetime and scattering rates

../../_images/fig_lifetime5465.png

(a) Phonon lifetime due to phonon-phonon scattering

../../_images/fig_scat_rates5464.png

(b) Phonon scattering rates

Cumulative and spectral thermal conductivity

../../_images/fig_cumu_frequency5465.png

(a) Spectral and cumulative thermal conductivity w.r.t frequency

../../_images/fig_cumu_mfp5464.png

(b) Spectral and cumulative thermal conductivity w.r.t MFP

Force constants

../../_images/fig_fc212847.png

(a) Force constants w.r.t atomic distance

Summary

../../_images/fig_kappa10363.png

(a) Temperature-dependent lattice thermal conductivity

../../_images/fig_times22273.png

(b) Computation time