mp-558980-2/Er3CuSiS7/anharm

Equation of state

../../_images/fig_bm4040.png

(a) Equation of state

Harmonic properties

../../_images/fig_bandos_pr7825.png

(a) Phonon dispersion with participation ratio and DOS

../../_images/fig_bandos10983.png

(b) Phonon dispersion and DOS

../../_images/fig_thermo7825.png

(c) Thermodynamic properties

Grüneisen parameters

../../_images/fig_gru_all3258.png

(a) Grüneisen parameters

../../_images/fig_gruneisen3258.png

(b) Phonon dispersion with Grüneisen parameters

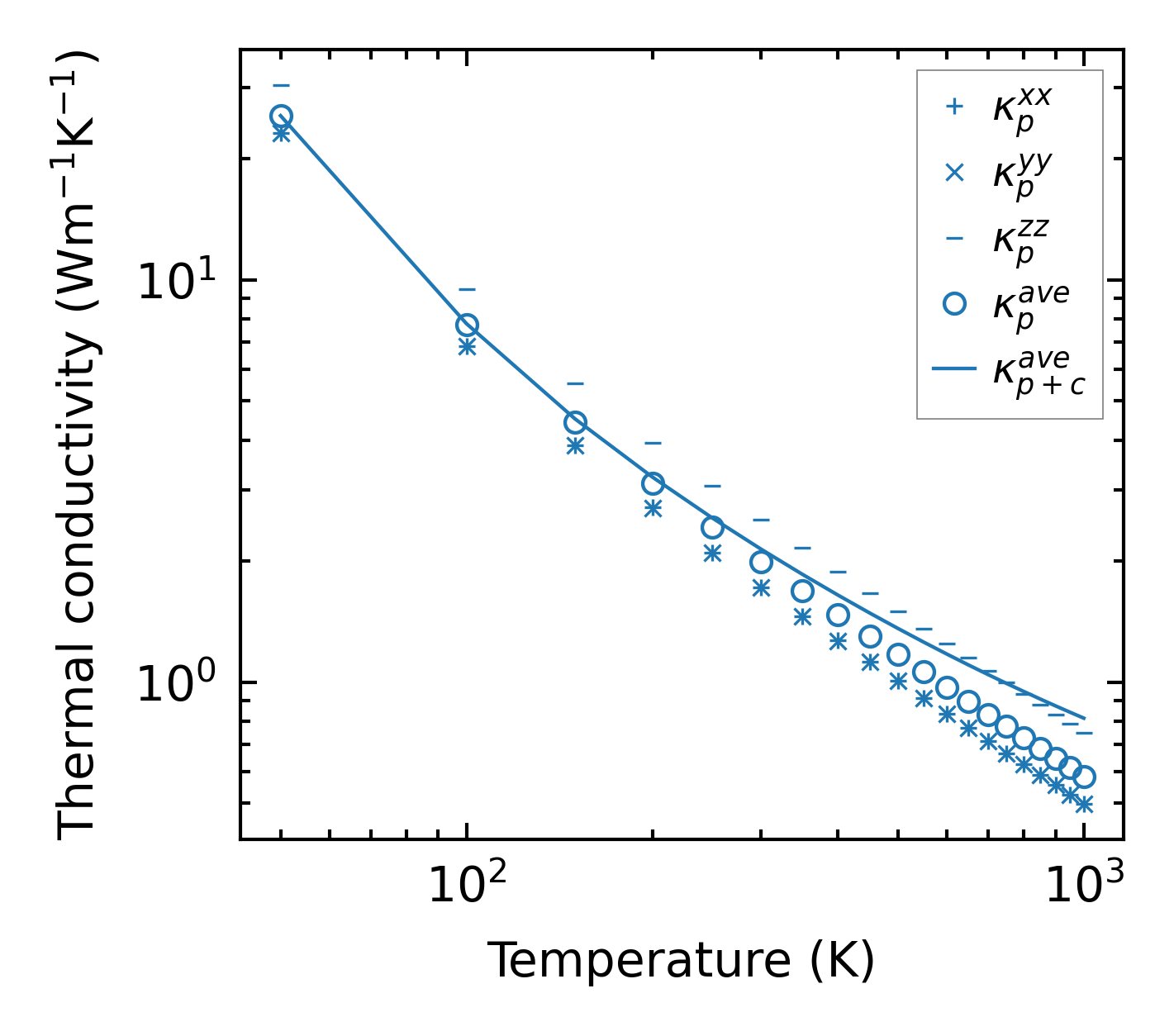
Thermal conductivity

3-phonon (LASSO) — q-mesh: 7x7x13, supercell: 1x1x2

../../_images/fig_kappa6171.png

(a) Temperature-dependent lattice thermal conductivity

../../_images/fig_kappa_vs_grain_size3300.png

(b) Peierls lattice thermal conductivity w.r.t grain size

Phonon lifetime and scattering rates

../../_images/fig_lifetime3230.png

(a) Phonon lifetime due to phonon-phonon scattering

../../_images/fig_scat_rates3229.png

(b) Phonon scattering rates

Cumulative and spectral thermal conductivity

../../_images/fig_cumu_frequency3230.png

(a) Spectral and cumulative thermal conductivity w.r.t frequency

../../_images/fig_cumu_mfp3229.png

(b) Spectral and cumulative thermal conductivity w.r.t MFP

Force constants

../../_images/fig_fc27588.png

(a) Force constants w.r.t atomic distance

Summary

../../_images/fig_kappa6172.png

(a) Temperature-dependent lattice thermal conductivity

../../_images/fig_times13801.png

(b) Computation time