mp-558195-2/Ba2HoB2ClO6/anharm

Equation of state

../../_images/fig_bm4097.png

(a) Equation of state

Harmonic properties

../../_images/fig_bandos_pr7965.png

(a) Phonon dispersion with participation ratio and DOS

../../_images/fig_thermo7965.png

(b) Thermodynamic properties

Grüneisen parameters

../../_images/fig_gru_all3294.png

(a) Grüneisen parameters

../../_images/fig_gruneisen3294.png

(b) Phonon dispersion with Grüneisen parameters

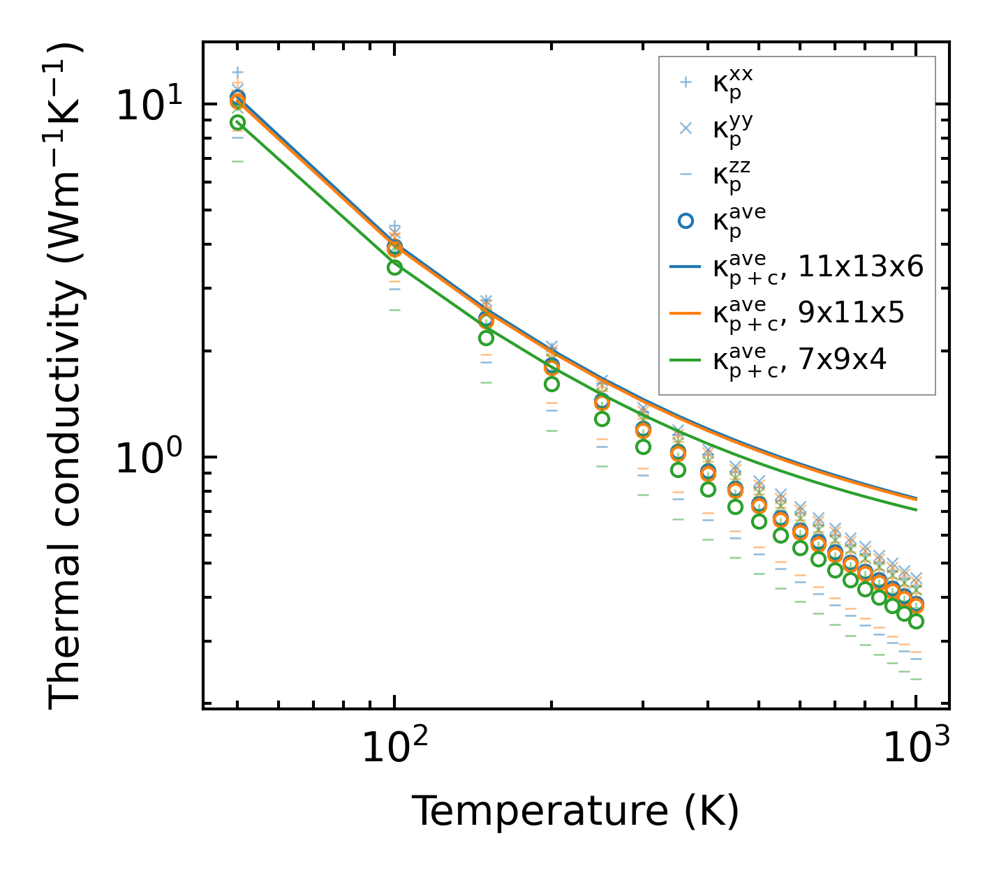
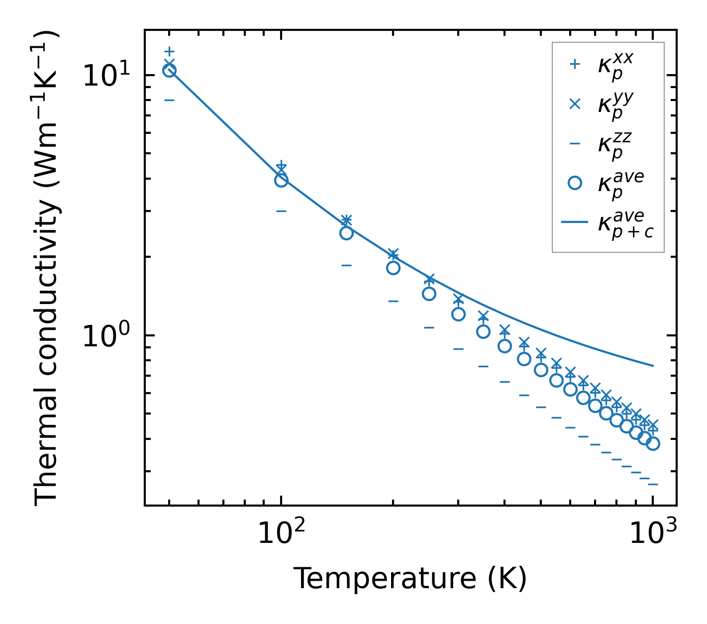
Thermal conductivity

3-phonon (LASSO) — q-mesh: 11x13x6, supercell: 2x3x1

../../_images/fig_kappa6239.png

(a) Temperature-dependent lattice thermal conductivity

../../_images/fig_kappa_vs_grain_size3337.png

(b) Peierls lattice thermal conductivity w.r.t grain size

Phonon lifetime and scattering rates

../../_images/fig_lifetime3266.png

(a) Phonon lifetime due to phonon-phonon scattering

../../_images/fig_scat_rates3265.png

(b) Phonon scattering rates

Cumulative and spectral thermal conductivity

../../_images/fig_cumu_frequency3266.png

(a) Spectral and cumulative thermal conductivity w.r.t frequency

../../_images/fig_cumu_mfp3265.png

(b) Spectral and cumulative thermal conductivity w.r.t MFP

Force constants

../../_images/fig_fc27727.png

(a) Force constants w.r.t atomic distance

Summary

../../_images/fig_kappa6240.png

(a) Temperature-dependent lattice thermal conductivity

../../_images/fig_times14045.png

(b) Computation time