mp-558807-2/ZnAgPS4/anharm

Equation of state

../../_images/fig_bm4155.png

(a) Equation of state

Harmonic properties

../../_images/fig_bandos_pr8094.png

(a) Phonon dispersion with participation ratio and DOS

../../_images/fig_bandos11389.png

(b) Phonon dispersion and DOS

../../_images/fig_thermo8094.png

(c) Thermodynamic properties

Grüneisen parameters

../../_images/fig_gru_all3337.png

(a) Grüneisen parameters

../../_images/fig_gruneisen3337.png

(b) Phonon dispersion with Grüneisen parameters

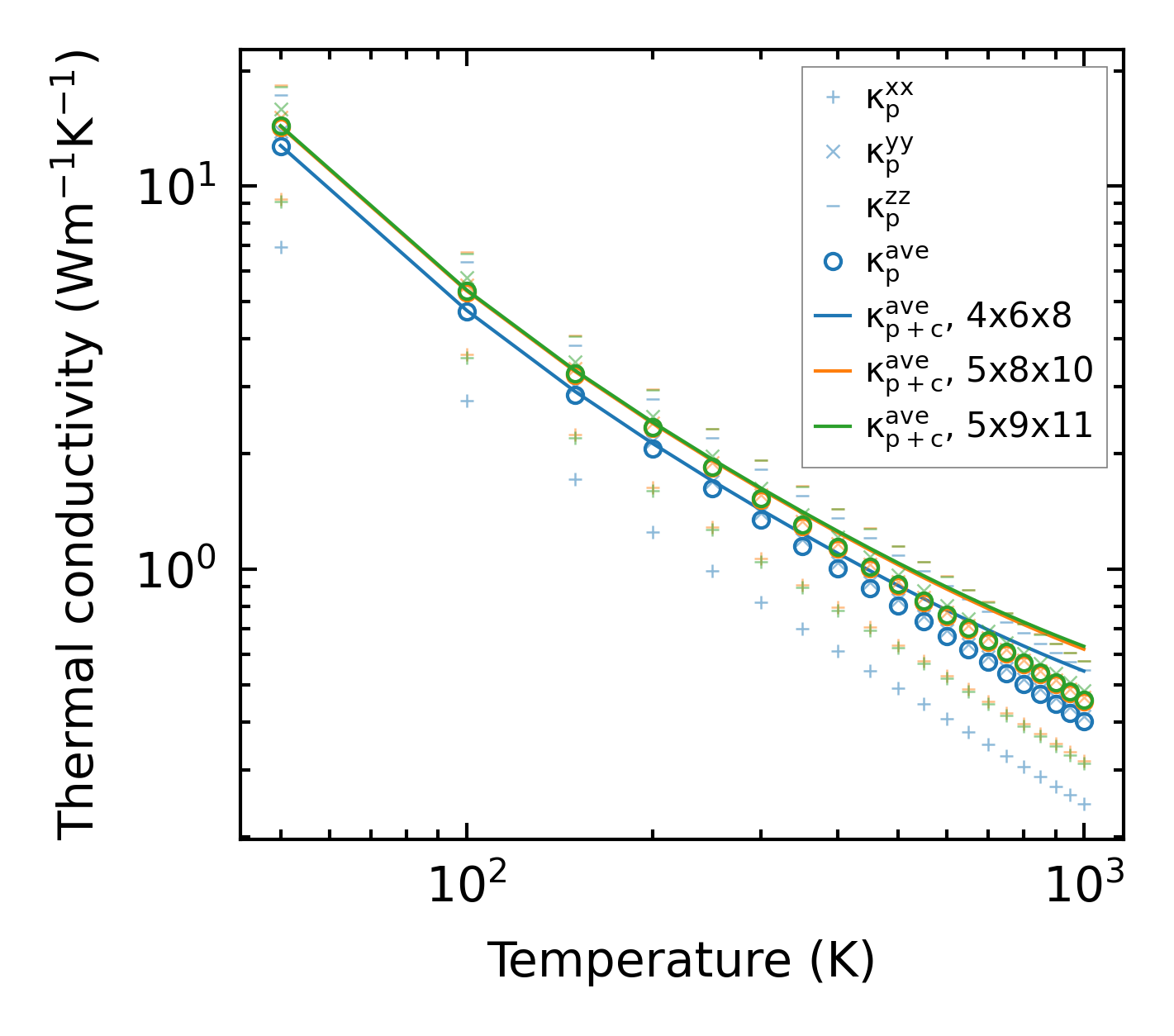
Thermal conductivity

3-phonon (LASSO) — q-mesh: 5x9x11, supercell: 1x2x2

../../_images/fig_kappa6317.png

(a) Temperature-dependent lattice thermal conductivity

../../_images/fig_kappa_vs_grain_size3380.png

(b) Peierls lattice thermal conductivity w.r.t grain size

Phonon lifetime and scattering rates

../../_images/fig_lifetime3307.png

(a) Phonon lifetime due to phonon-phonon scattering

../../_images/fig_scat_rates3306.png

(b) Phonon scattering rates

Cumulative and spectral thermal conductivity

../../_images/fig_cumu_frequency3307.png

(a) Spectral and cumulative thermal conductivity w.r.t frequency

../../_images/fig_cumu_mfp3306.png

(b) Spectral and cumulative thermal conductivity w.r.t MFP

Force constants

../../_images/fig_fc27856.png

(a) Force constants w.r.t atomic distance

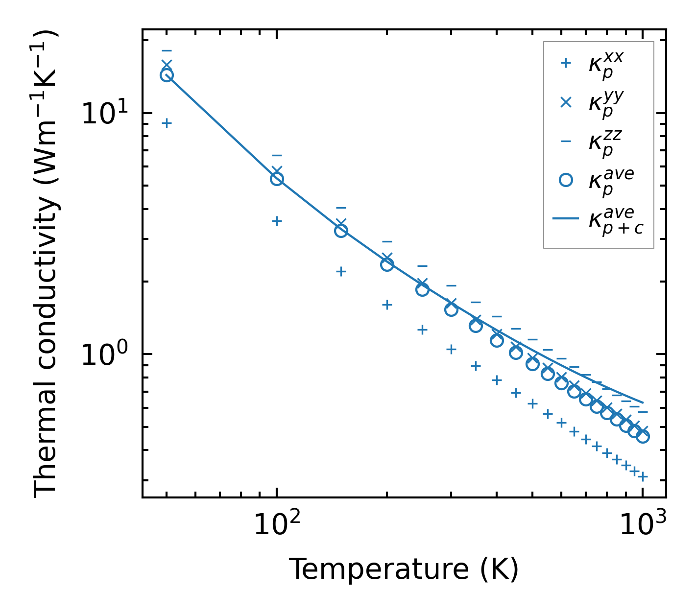
Summary

../../_images/fig_kappa6318.png

(a) Temperature-dependent lattice thermal conductivity

../../_images/fig_times14268.png

(b) Computation time