mp-558938/Zn4SiTePbO10/anharm

Harmonic properties

../../_images/fig_bandos_pr7810.png

(a) Phonon dispersion with participation ratio and DOS

../../_images/fig_thermo7810.png

(b) Thermodynamic properties

Grüneisen parameters

../../_images/fig_gru_all3252.png

(a) Grüneisen parameters

../../_images/fig_gruneisen3252.png

(b) Phonon dispersion with Grüneisen parameters

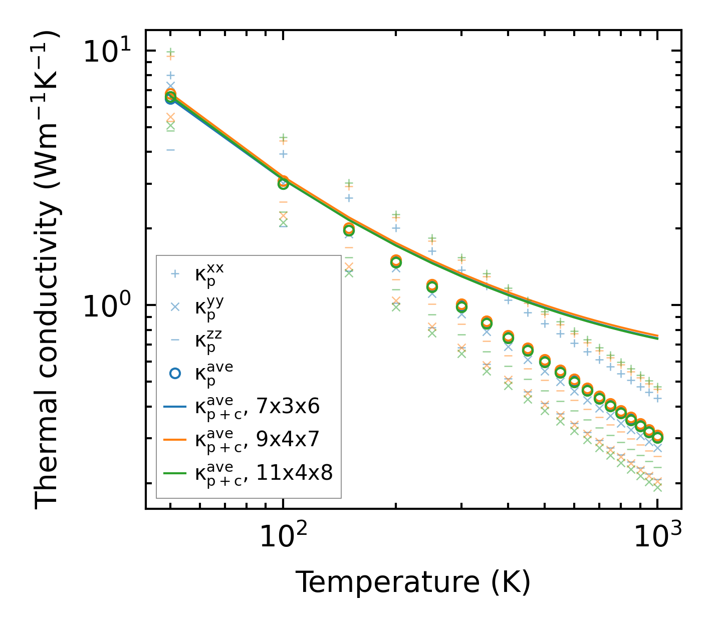
Thermal conductivity

3-phonon (LASSO) — q-mesh: 11x4x8, supercell: 2x1x1

../../_images/fig_kappa6159.png

(a) Temperature-dependent lattice thermal conductivity

../../_images/fig_kappa_vs_grain_size3294.png

(b) Peierls lattice thermal conductivity w.r.t grain size

Phonon lifetime and scattering rates

../../_images/fig_lifetime3224.png

(a) Phonon lifetime due to phonon-phonon scattering

../../_images/fig_scat_rates3223.png

(b) Phonon scattering rates

Cumulative and spectral thermal conductivity

../../_images/fig_cumu_frequency3224.png

(a) Spectral and cumulative thermal conductivity w.r.t frequency

../../_images/fig_cumu_mfp3223.png

(b) Spectral and cumulative thermal conductivity w.r.t MFP

Force constants

../../_images/fig_fc27573.png

(a) Force constants w.r.t atomic distance

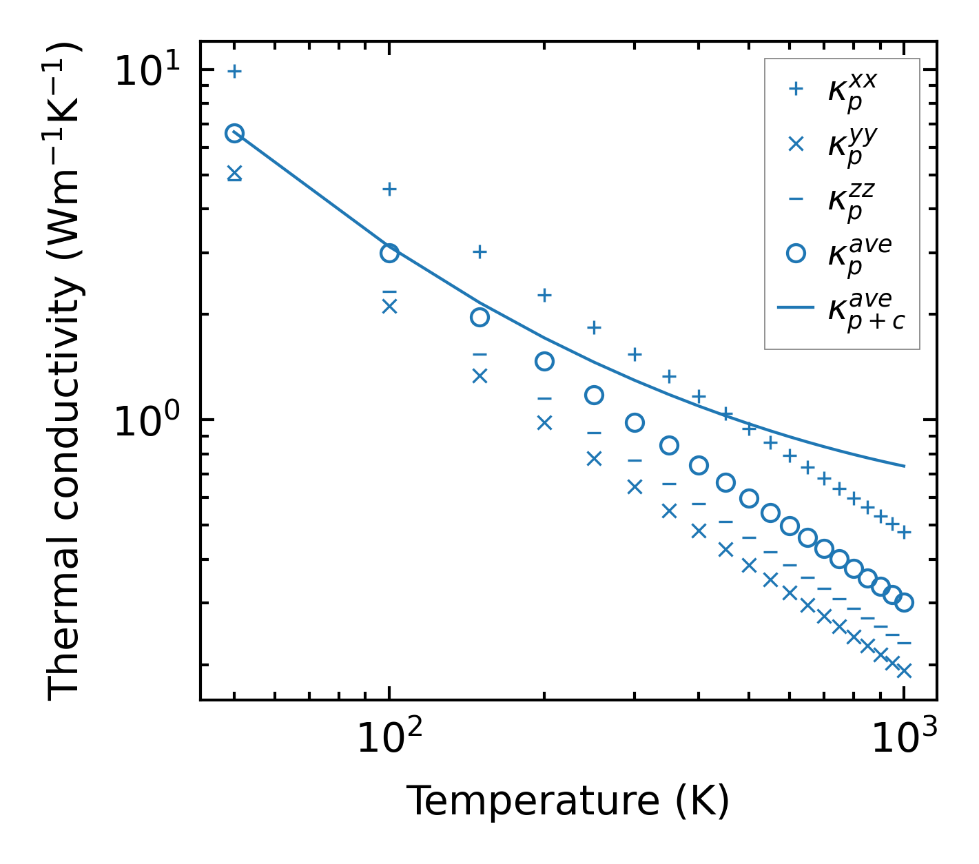
Summary

../../_images/fig_kappa6160.png

(a) Temperature-dependent lattice thermal conductivity

../../_images/fig_times13780.png

(b) Computation time