mp-558217/CsAgN2O6/harm

Harmonic properties

../../_images/fig_bandos_pr7971.png

(a) Phonon dispersion with participation ratio and DOS

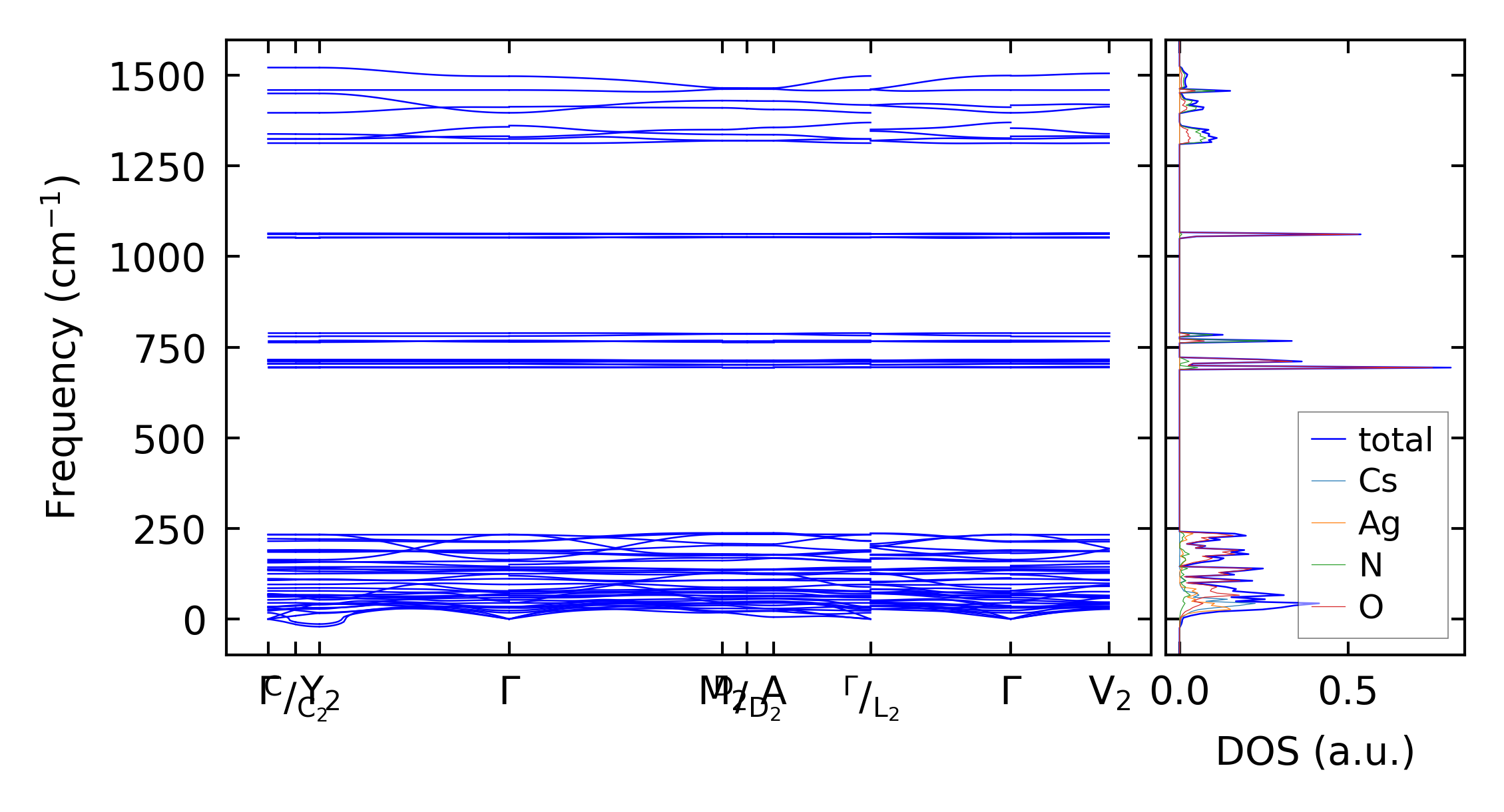
../../_images/fig_bandos11206.png

(b) Phonon dispersion and DOS

../../_images/fig_thermo7971.png

(c) Thermodynamic properties

Force constants

../../_images/fig_fc27733.png

(a) Force constants w.r.t atomic distance

Summary

../../_images/fig_times14055.png

(a) Computation time