mp-558533-2/Nd3UCl3O6/anharm

Equation of state

../../_images/fig_bm4131.png

(a) Equation of state

Harmonic properties

../../_images/fig_bandos_pr8041.png

(a) Phonon dispersion with participation ratio and DOS

../../_images/fig_bandos11307.png

(b) Phonon dispersion and DOS

../../_images/fig_thermo8041.png

(c) Thermodynamic properties

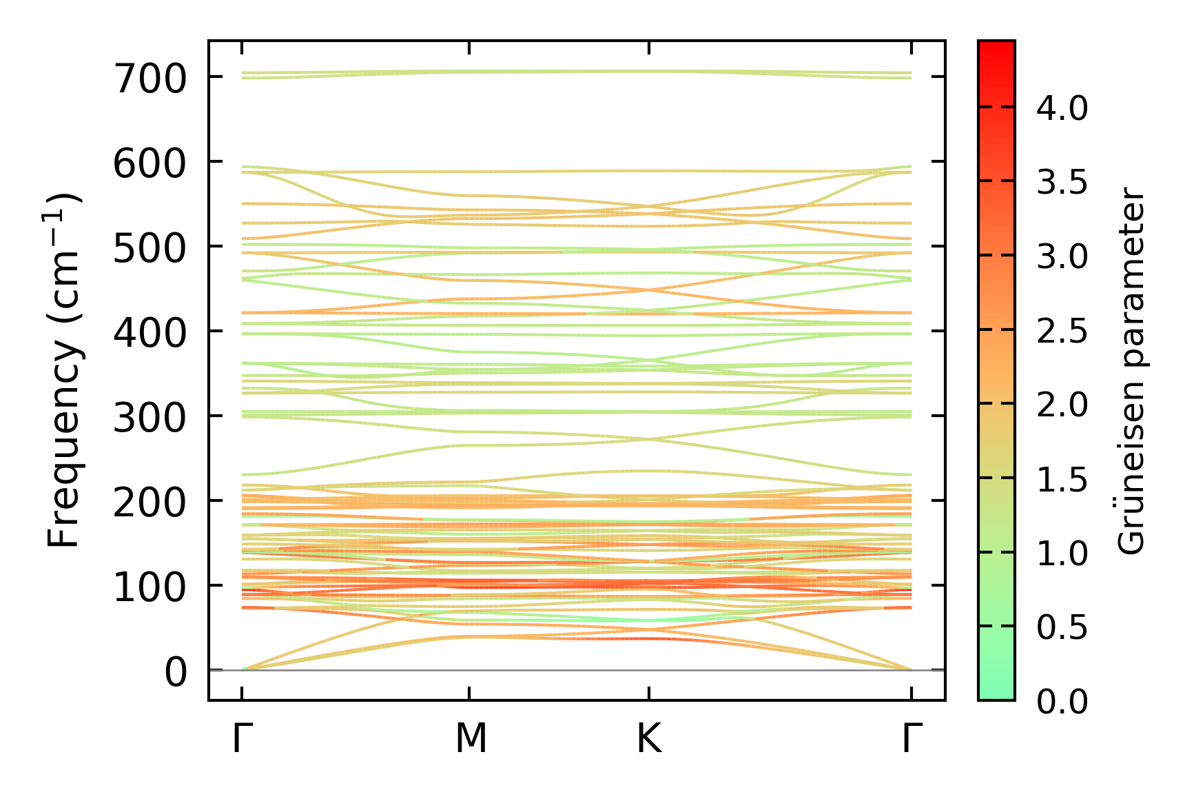
Grüneisen parameters

../../_images/fig_gru_all3320.png

(a) Grüneisen parameters

../../_images/fig_gruneisen3320.png

(b) Phonon dispersion with Grüneisen parameters

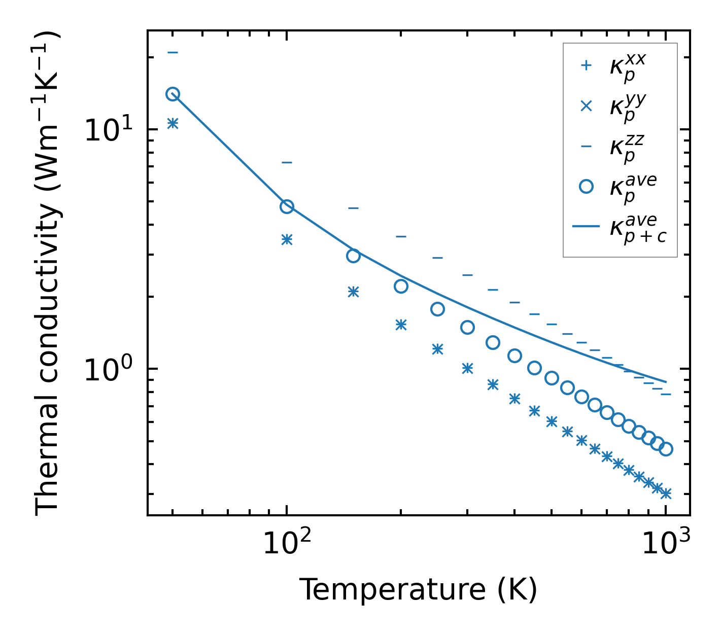
Thermal conductivity

3-phonon (LASSO) — q-mesh: 8x8x13, supercell: 1x1x2

../../_images/fig_kappa6285.png

(a) Temperature-dependent lattice thermal conductivity

../../_images/fig_kappa_vs_grain_size3363.png

(b) Peierls lattice thermal conductivity w.r.t grain size

Force constants

../../_images/fig_fc27803.png

(a) Force constants w.r.t atomic distance

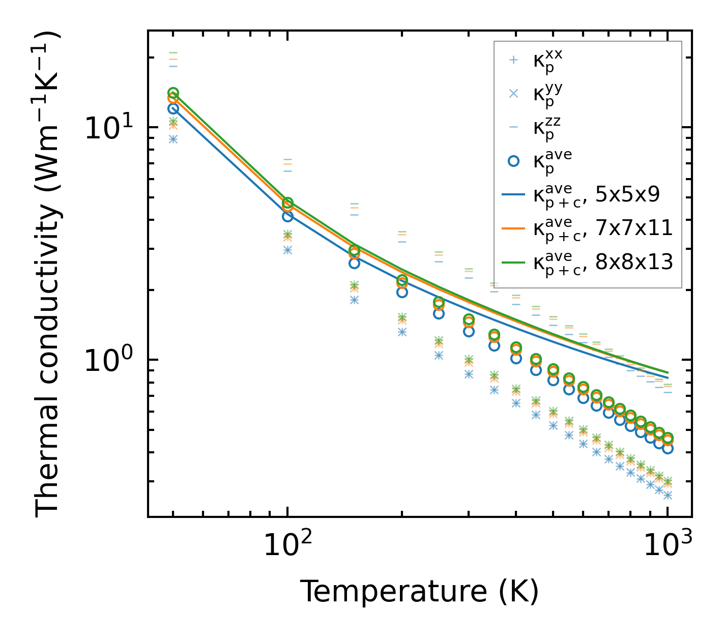
Summary

../../_images/fig_kappa6286.png

(a) Temperature-dependent lattice thermal conductivity

../../_images/fig_times14173.png

(b) Computation time