mp-558724/La2SiS5/anharm

Harmonic properties

../../_images/fig_bandos_pr8081.png

(a) Phonon dispersion with participation ratio and DOS

../../_images/fig_thermo8081.png

(b) Thermodynamic properties

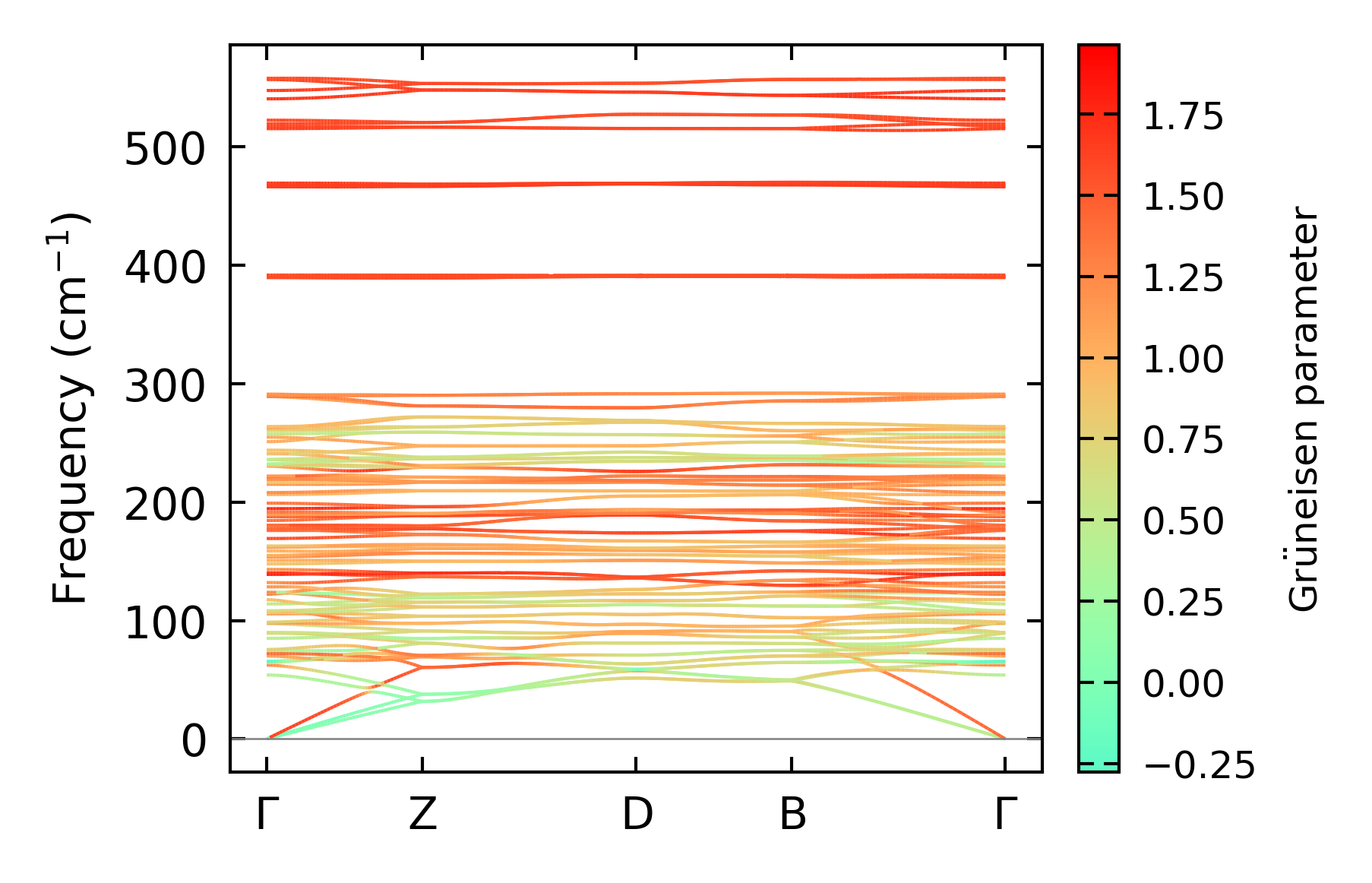
Grüneisen parameters

../../_images/fig_gru_all3334.png

(a) Grüneisen parameters

../../_images/fig_gruneisen3334.png

(b) Phonon dispersion with Grüneisen parameters

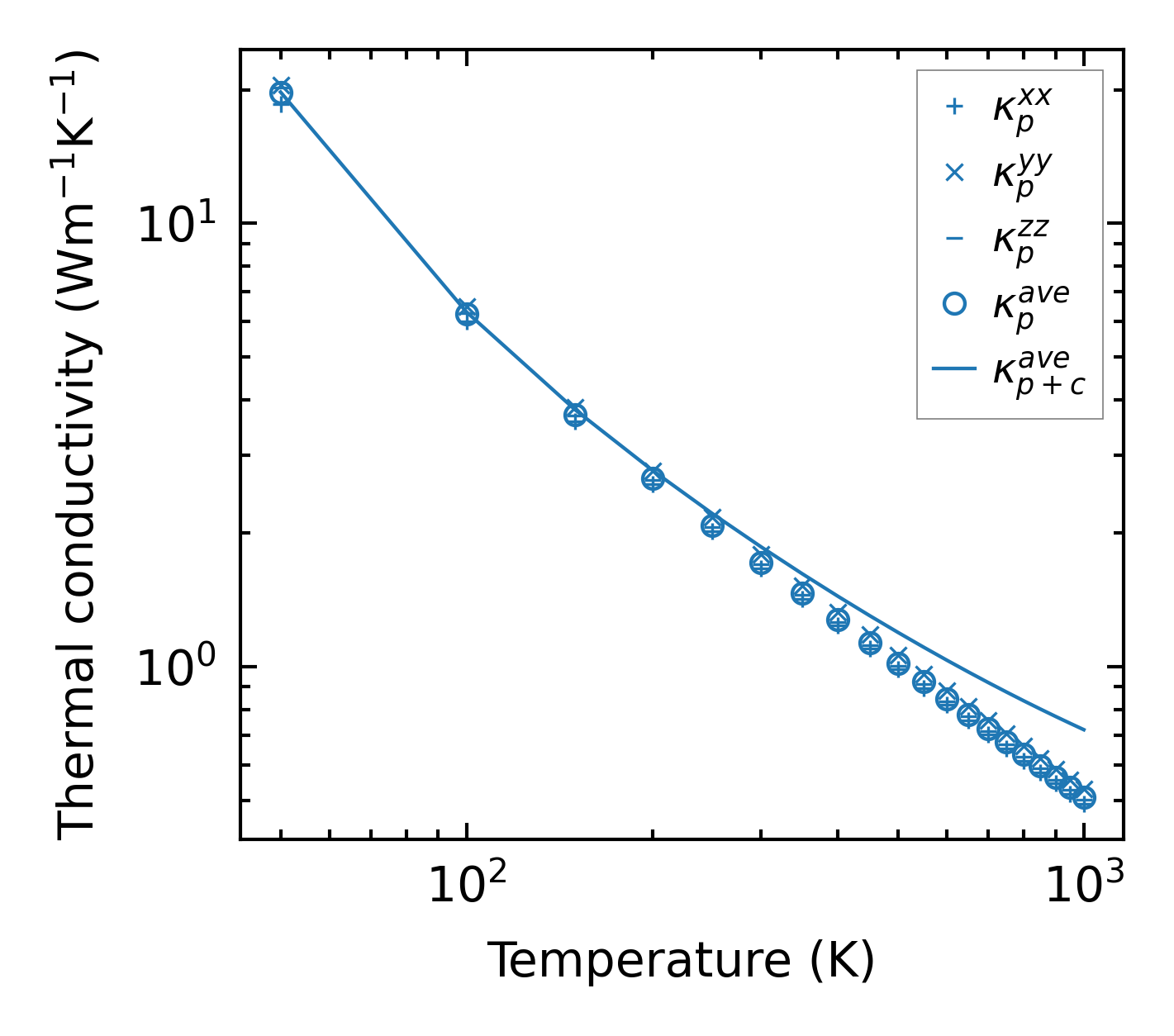
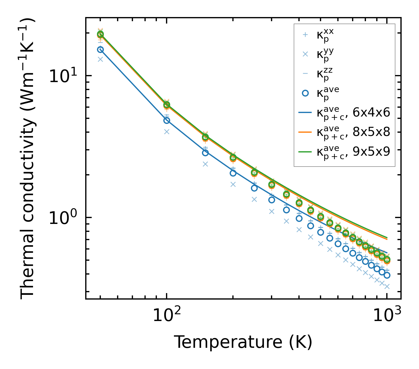
Thermal conductivity

3-phonon (LASSO) — q-mesh: 9x5x9, supercell: 2x1x2

../../_images/fig_kappa6311.png

(a) Temperature-dependent lattice thermal conductivity

../../_images/fig_kappa_vs_grain_size3377.png

(b) Peierls lattice thermal conductivity w.r.t grain size

Phonon lifetime and scattering rates

../../_images/fig_lifetime3304.png

(a) Phonon lifetime due to phonon-phonon scattering

../../_images/fig_scat_rates3303.png

(b) Phonon scattering rates

Cumulative and spectral thermal conductivity

../../_images/fig_cumu_frequency3304.png

(a) Spectral and cumulative thermal conductivity w.r.t frequency

../../_images/fig_cumu_mfp3303.png

(b) Spectral and cumulative thermal conductivity w.r.t MFP

Force constants

../../_images/fig_fc27843.png

(a) Force constants w.r.t atomic distance

Summary

../../_images/fig_kappa6312.png

(a) Temperature-dependent lattice thermal conductivity

../../_images/fig_times14241.png

(b) Computation time