mp-558536-2/RbCdAuS2/anharm

Equation of state

../../_images/fig_bm4132.png

(a) Equation of state

Harmonic properties

../../_images/fig_bandos_pr8044.png

(a) Phonon dispersion with participation ratio and DOS

../../_images/fig_thermo8044.png

(b) Thermodynamic properties

Grüneisen parameters

../../_images/fig_gru_all3323.png

(a) Grüneisen parameters

../../_images/fig_gruneisen3323.png

(b) Phonon dispersion with Grüneisen parameters

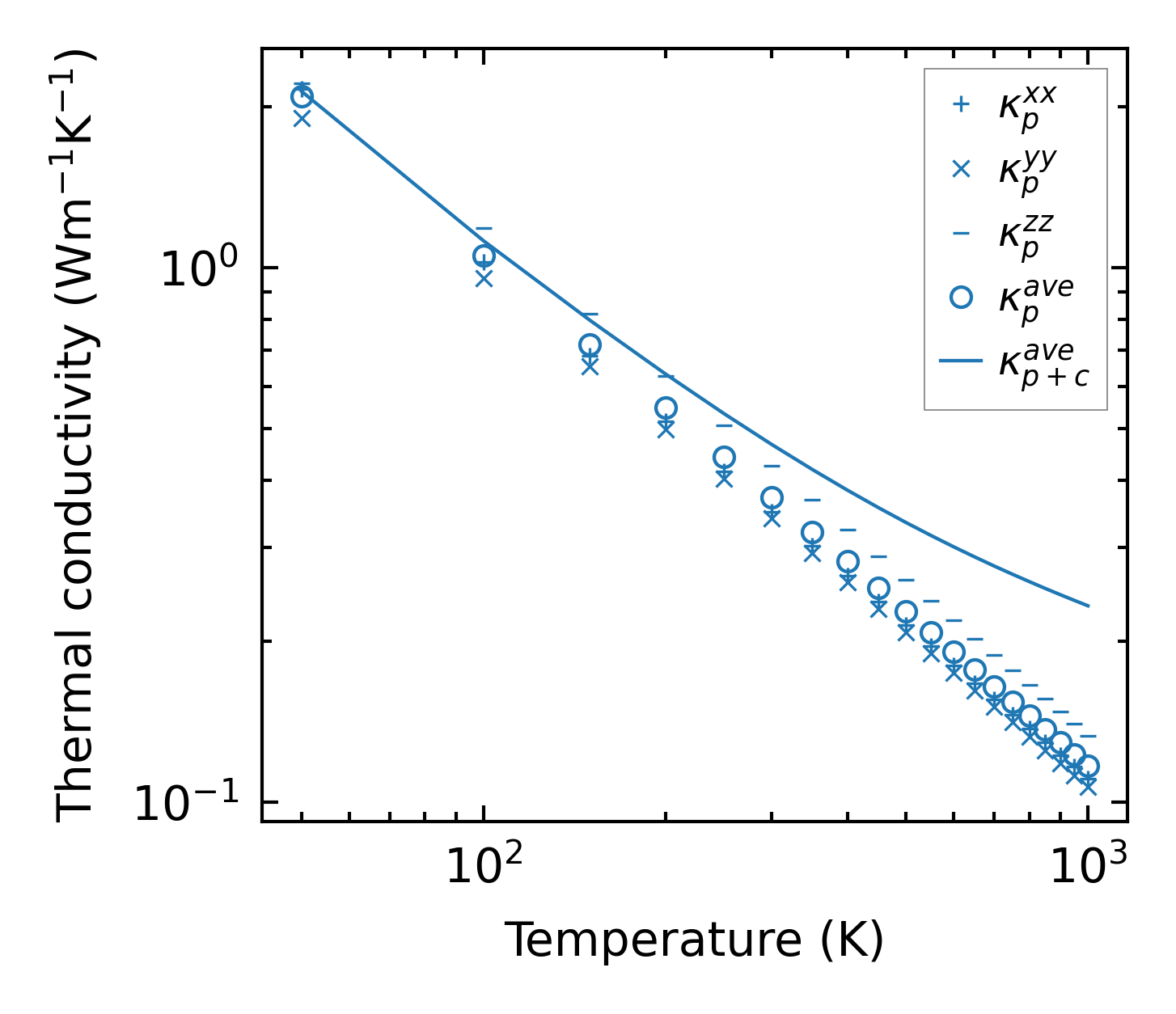
Thermal conductivity

3-phonon (LASSO) — q-mesh: 5x12x10, supercell: 1x3x2

../../_images/fig_kappa6291.png

(a) Temperature-dependent lattice thermal conductivity

../../_images/fig_kappa_vs_grain_size3366.png

(b) Peierls lattice thermal conductivity w.r.t grain size

Phonon lifetime and scattering rates

../../_images/fig_lifetime3293.png

(a) Phonon lifetime due to phonon-phonon scattering

../../_images/fig_scat_rates3292.png

(b) Phonon scattering rates

Cumulative and spectral thermal conductivity

../../_images/fig_cumu_frequency3293.png

(a) Spectral and cumulative thermal conductivity w.r.t frequency

../../_images/fig_cumu_mfp3292.png

(b) Spectral and cumulative thermal conductivity w.r.t MFP

Force constants

../../_images/fig_fc27806.png

(a) Force constants w.r.t atomic distance

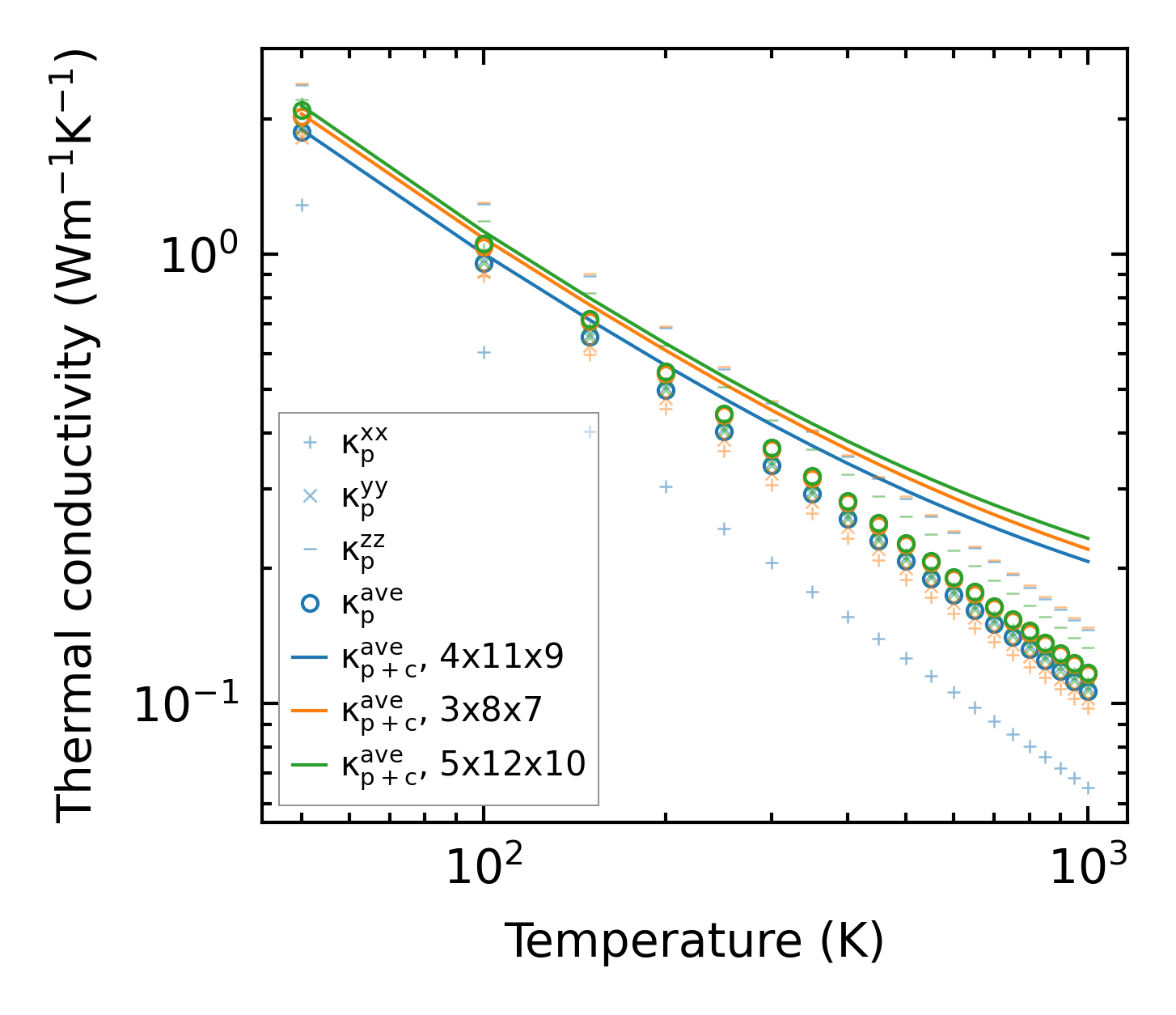
Summary

../../_images/fig_kappa6292.png

(a) Temperature-dependent lattice thermal conductivity

../../_images/fig_times14176.png

(b) Computation time