mp-558188-2/AgHg2AsO4/anharm

Equation of state

../../_images/fig_bm4095.png

(a) Equation of state

Harmonic properties

../../_images/fig_bandos_pr7961.png

(a) Phonon dispersion with participation ratio and DOS

../../_images/fig_thermo7961.png

(b) Thermodynamic properties

Grüneisen parameters

../../_images/fig_gru_all3292.png

(a) Grüneisen parameters

../../_images/fig_gruneisen3292.png

(b) Phonon dispersion with Grüneisen parameters

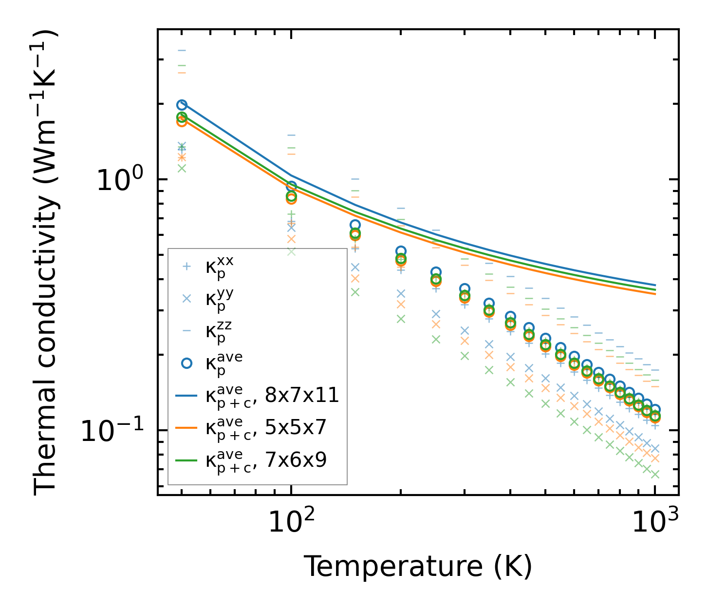
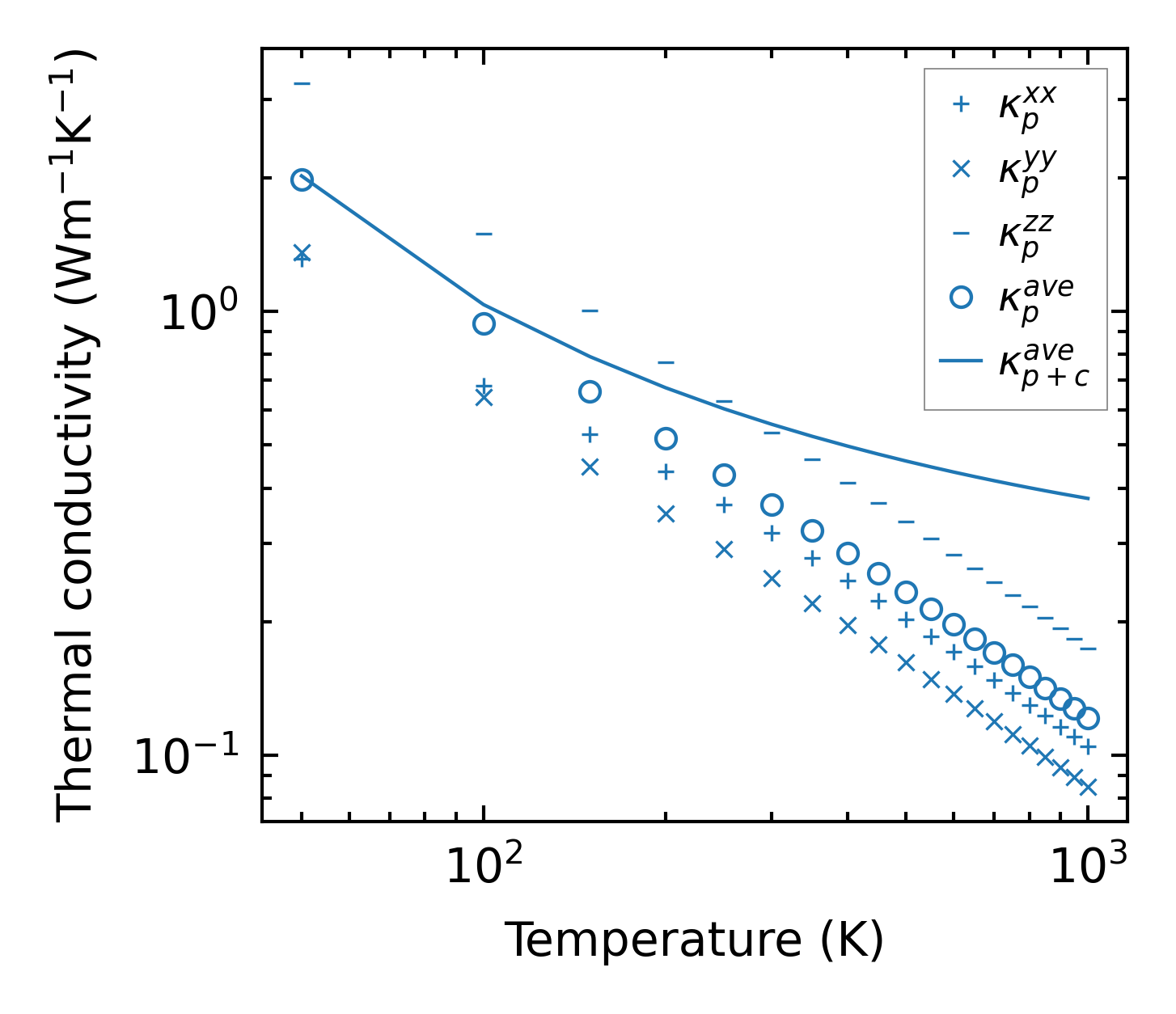
Thermal conductivity

3-phonon (LASSO) — q-mesh: 8x7x11, supercell: 2x1x2

../../_images/fig_kappa6235.png

(a) Temperature-dependent lattice thermal conductivity

../../_images/fig_kappa_vs_grain_size3335.png

(b) Peierls lattice thermal conductivity w.r.t grain size

Phonon lifetime and scattering rates

../../_images/fig_lifetime3264.png

(a) Phonon lifetime due to phonon-phonon scattering

../../_images/fig_scat_rates3263.png

(b) Phonon scattering rates

Cumulative and spectral thermal conductivity

../../_images/fig_cumu_frequency3264.png

(a) Spectral and cumulative thermal conductivity w.r.t frequency

../../_images/fig_cumu_mfp3263.png

(b) Spectral and cumulative thermal conductivity w.r.t MFP

Force constants

../../_images/fig_fc27723.png

(a) Force constants w.r.t atomic distance

Summary

../../_images/fig_kappa6236.png

(a) Temperature-dependent lattice thermal conductivity

../../_images/fig_times14038.png

(b) Computation time