mp-558731/Li2TeS3/anharm

Harmonic properties

../../_images/fig_bandos_pr8082.png

(a) Phonon dispersion with participation ratio and DOS

../../_images/fig_thermo8082.png

(b) Thermodynamic properties

Grüneisen parameters

../../_images/fig_gru_all3335.png

(a) Grüneisen parameters

../../_images/fig_gruneisen3335.png

(b) Phonon dispersion with Grüneisen parameters

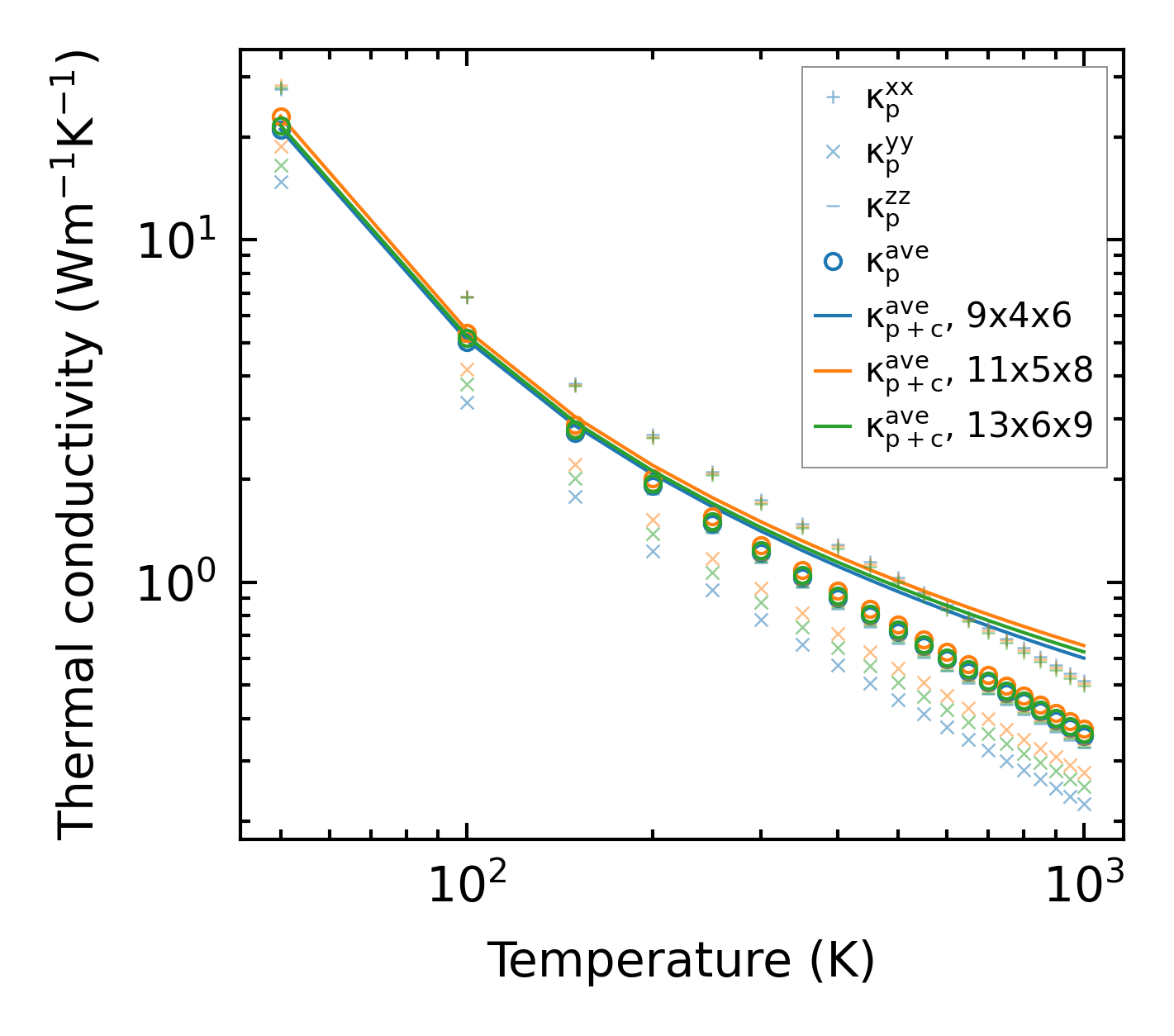
Thermal conductivity

3-phonon (LASSO) — q-mesh: 13x6x9, supercell: 3x1x2

../../_images/fig_kappa6313.png

(a) Temperature-dependent lattice thermal conductivity

../../_images/fig_kappa_vs_grain_size3378.png

(b) Peierls lattice thermal conductivity w.r.t grain size

Phonon lifetime and scattering rates

../../_images/fig_lifetime3305.png

(a) Phonon lifetime due to phonon-phonon scattering

../../_images/fig_scat_rates3304.png

(b) Phonon scattering rates

Cumulative and spectral thermal conductivity

../../_images/fig_cumu_frequency3305.png

(a) Spectral and cumulative thermal conductivity w.r.t frequency

../../_images/fig_cumu_mfp3304.png

(b) Spectral and cumulative thermal conductivity w.r.t MFP

Force constants

../../_images/fig_fc27844.png

(a) Force constants w.r.t atomic distance

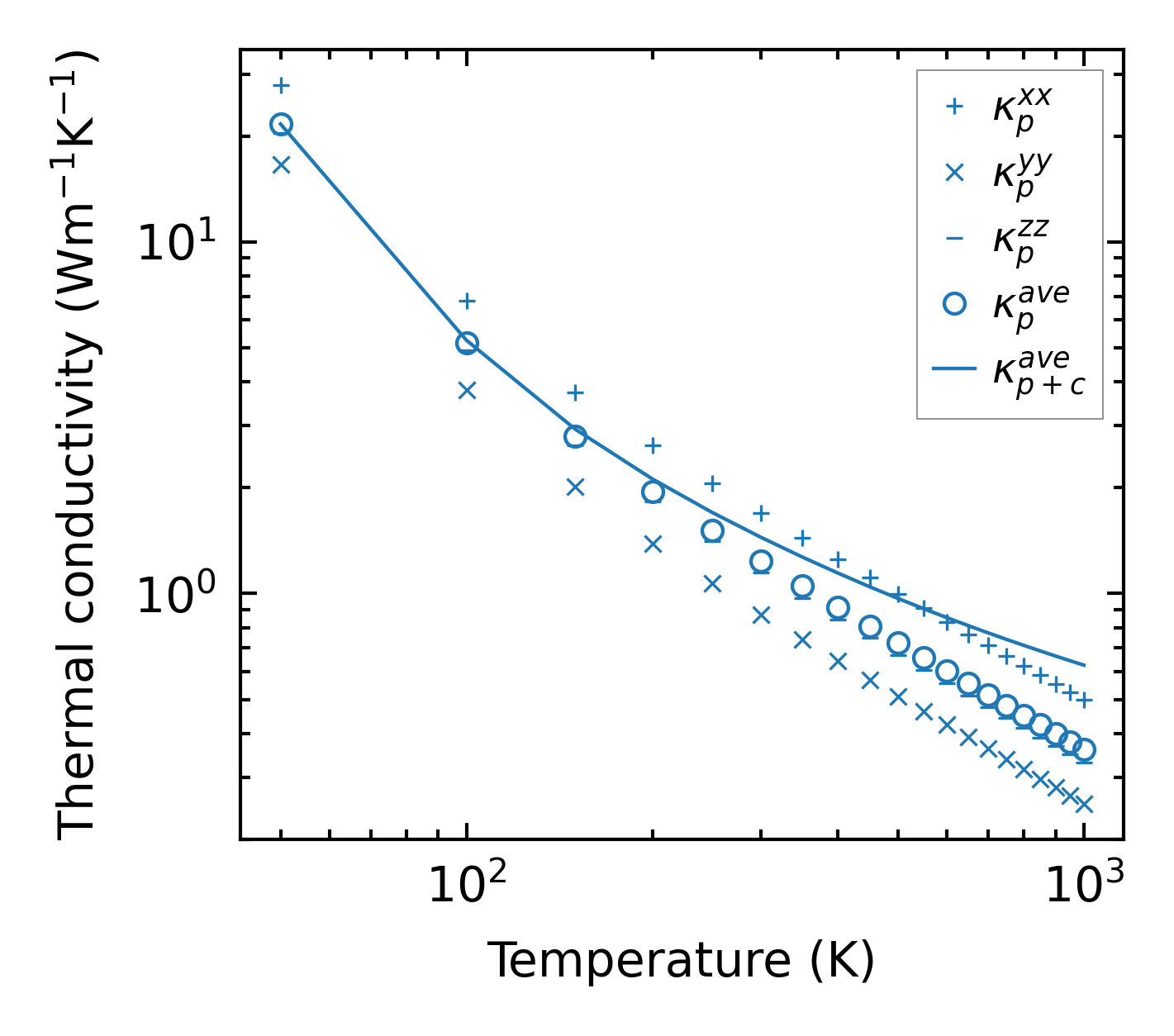
Summary

../../_images/fig_kappa6314.png

(a) Temperature-dependent lattice thermal conductivity

../../_images/fig_times14242.png

(b) Computation time