mp-558455-2/Na4Li5B3O9/anharm

Equation of state

../../_images/fig_bm4124.png

(a) Equation of state

Harmonic properties

../../_images/fig_bandos_pr8023.png

(a) Phonon dispersion with participation ratio and DOS

../../_images/fig_bandos11283.png

(b) Phonon dispersion and DOS

../../_images/fig_thermo8023.png

(c) Thermodynamic properties

Grüneisen parameters

../../_images/fig_gru_all3313.png

(a) Grüneisen parameters

../../_images/fig_gruneisen3313.png

(b) Phonon dispersion with Grüneisen parameters

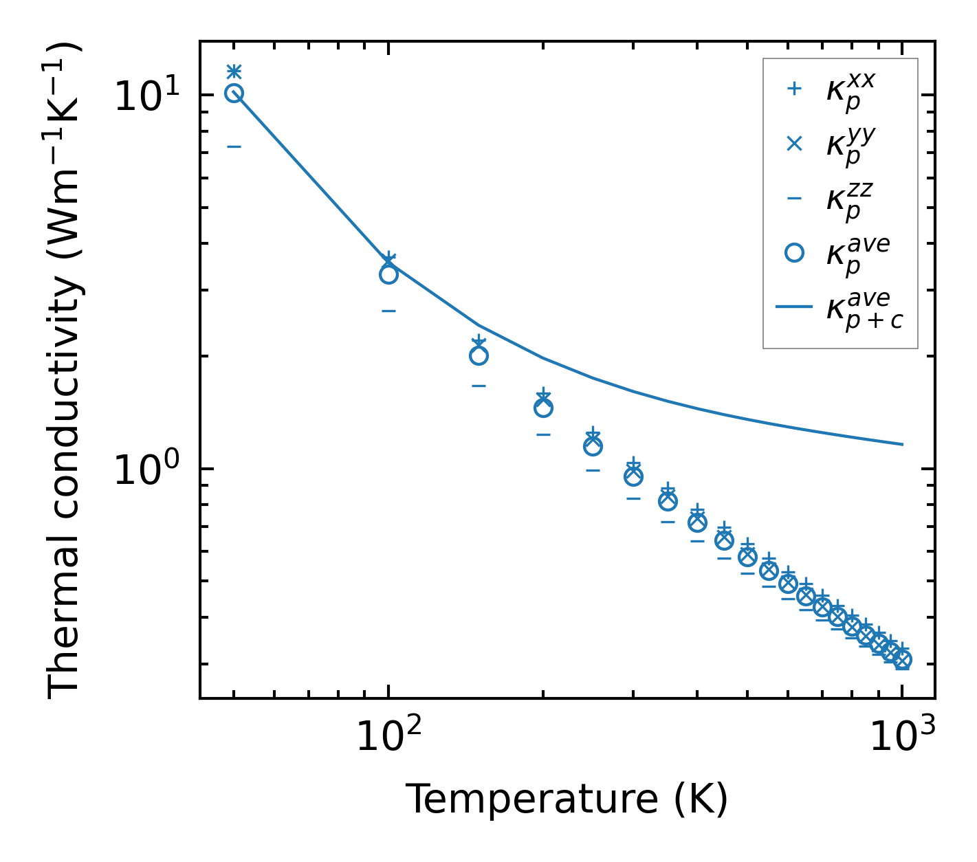
Thermal conductivity

3-phonon (LASSO), supercell 1x2x1 — q-mesh: 10x10x7, supercell: 1x2x1

../../_images/fig_kappa6275.png

(a) Temperature-dependent lattice thermal conductivity

../../_images/fig_kappa_vs_grain_size3357.png

(b) Peierls lattice thermal conductivity w.r.t grain size

Phonon lifetime and scattering rates

../../_images/fig_lifetime3285.png

(a) Phonon lifetime due to phonon-phonon scattering

../../_images/fig_scat_rates3284.png

(b) Phonon scattering rates

Cumulative and spectral thermal conductivity

../../_images/fig_cumu_frequency3285.png

(a) Spectral and cumulative thermal conductivity w.r.t frequency

../../_images/fig_cumu_mfp3284.png

(b) Spectral and cumulative thermal conductivity w.r.t MFP

Force constants

../../_images/fig_fc27785.png

(a) Force constants w.r.t atomic distance

Summary

../../_images/fig_times14144.png

(a) Computation time