mp-558458/Mg3SiO4F2/anharm

Harmonic properties

../../_images/fig_bandos_pr8024.png

(a) Phonon dispersion with participation ratio and DOS

../../_images/fig_thermo8024.png

(b) Thermodynamic properties

Grüneisen parameters

../../_images/fig_gru_all3314.png

(a) Grüneisen parameters

../../_images/fig_gruneisen3314.png

(b) Phonon dispersion with Grüneisen parameters

Thermal conductivity

3-phonon (LASSO) — q-mesh: 7x8x15, supercell: 1x1x2

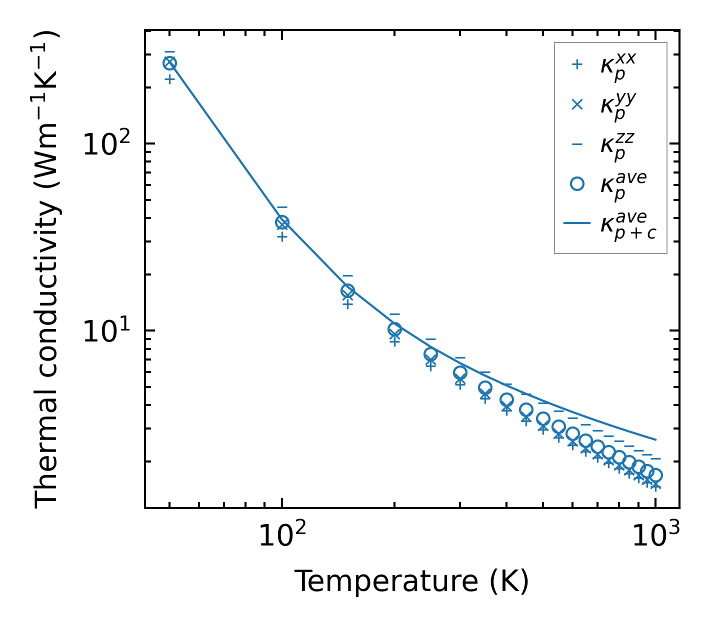
../../_images/fig_kappa6276.png

(a) Temperature-dependent lattice thermal conductivity

../../_images/fig_kappa_vs_grain_size3358.png

(b) Peierls lattice thermal conductivity w.r.t grain size

Phonon lifetime and scattering rates

../../_images/fig_lifetime3286.png

(a) Phonon lifetime due to phonon-phonon scattering

../../_images/fig_scat_rates3285.png

(b) Phonon scattering rates

Cumulative and spectral thermal conductivity

../../_images/fig_cumu_frequency3286.png

(a) Spectral and cumulative thermal conductivity w.r.t frequency

../../_images/fig_cumu_mfp3285.png

(b) Spectral and cumulative thermal conductivity w.r.t MFP

Force constants

../../_images/fig_fc27786.png

(a) Force constants w.r.t atomic distance

Summary

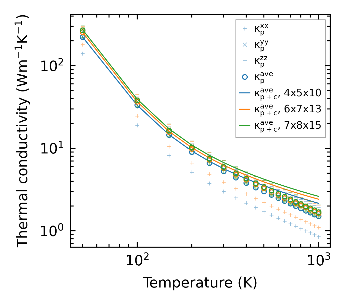
../../_images/fig_kappa6277.png

(a) Temperature-dependent lattice thermal conductivity

../../_images/fig_times14146.png

(b) Computation time