mp-558137-2/AlBPbO4/anharm

Equation of state

../../_images/fig_bm4226.png

(a) Equation of state

Harmonic properties

../../_images/fig_bandos_pr8279.png

(a) Phonon dispersion with participation ratio and DOS

../../_images/fig_bandos11644.png

(b) Phonon dispersion and DOS

../../_images/fig_thermo8279.png

(c) Thermodynamic properties

Grüneisen parameters

../../_images/fig_gru_all3380.png

(a) Grüneisen parameters

../../_images/fig_gruneisen3380.png

(b) Phonon dispersion with Grüneisen parameters

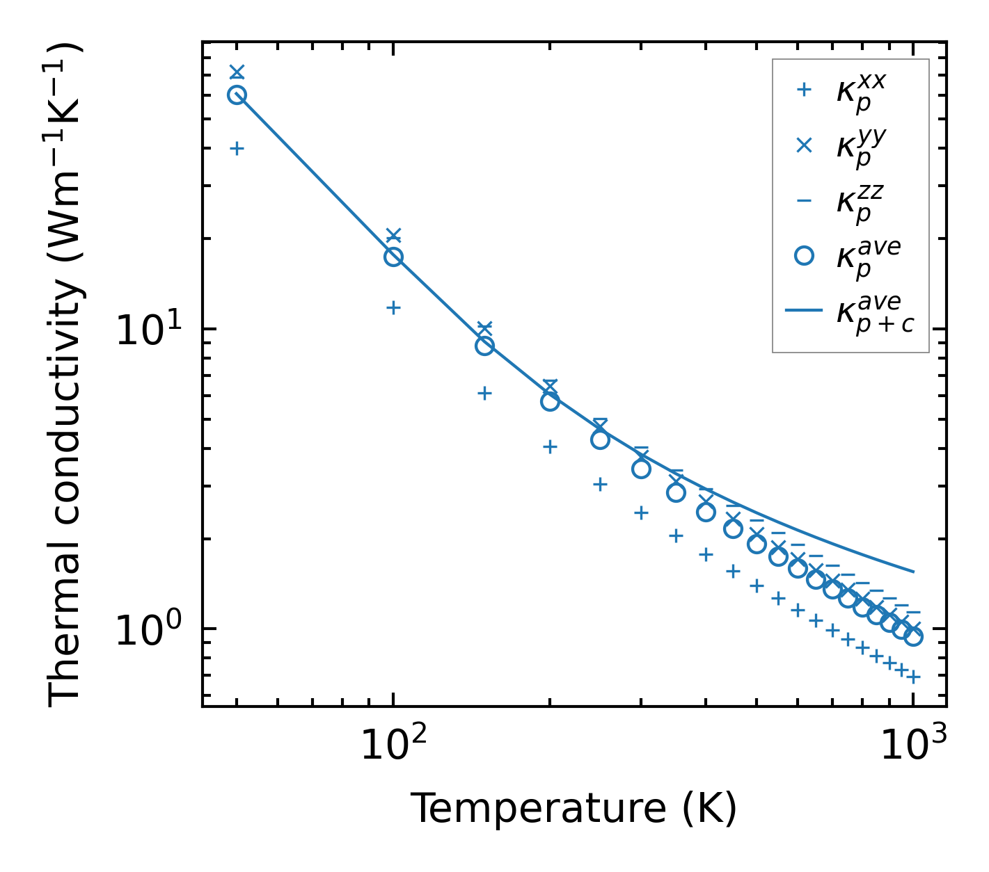
Thermal conductivity

3-phonon (LASSO) — q-mesh: 10x7x7, supercell: 2x1x1

../../_images/fig_kappa6395.png

(a) Temperature-dependent lattice thermal conductivity

../../_images/fig_kappa_vs_grain_size3424.png

(b) Peierls lattice thermal conductivity w.r.t grain size

Phonon lifetime and scattering rates

../../_images/fig_lifetime3349.png

(a) Phonon lifetime due to phonon-phonon scattering

../../_images/fig_scat_rates3348.png

(b) Phonon scattering rates

Cumulative and spectral thermal conductivity

../../_images/fig_cumu_frequency3349.png

(a) Spectral and cumulative thermal conductivity w.r.t frequency

../../_images/fig_cumu_mfp3348.png

(b) Spectral and cumulative thermal conductivity w.r.t MFP

Force constants

../../_images/fig_fc28041.png

(a) Force constants w.r.t atomic distance

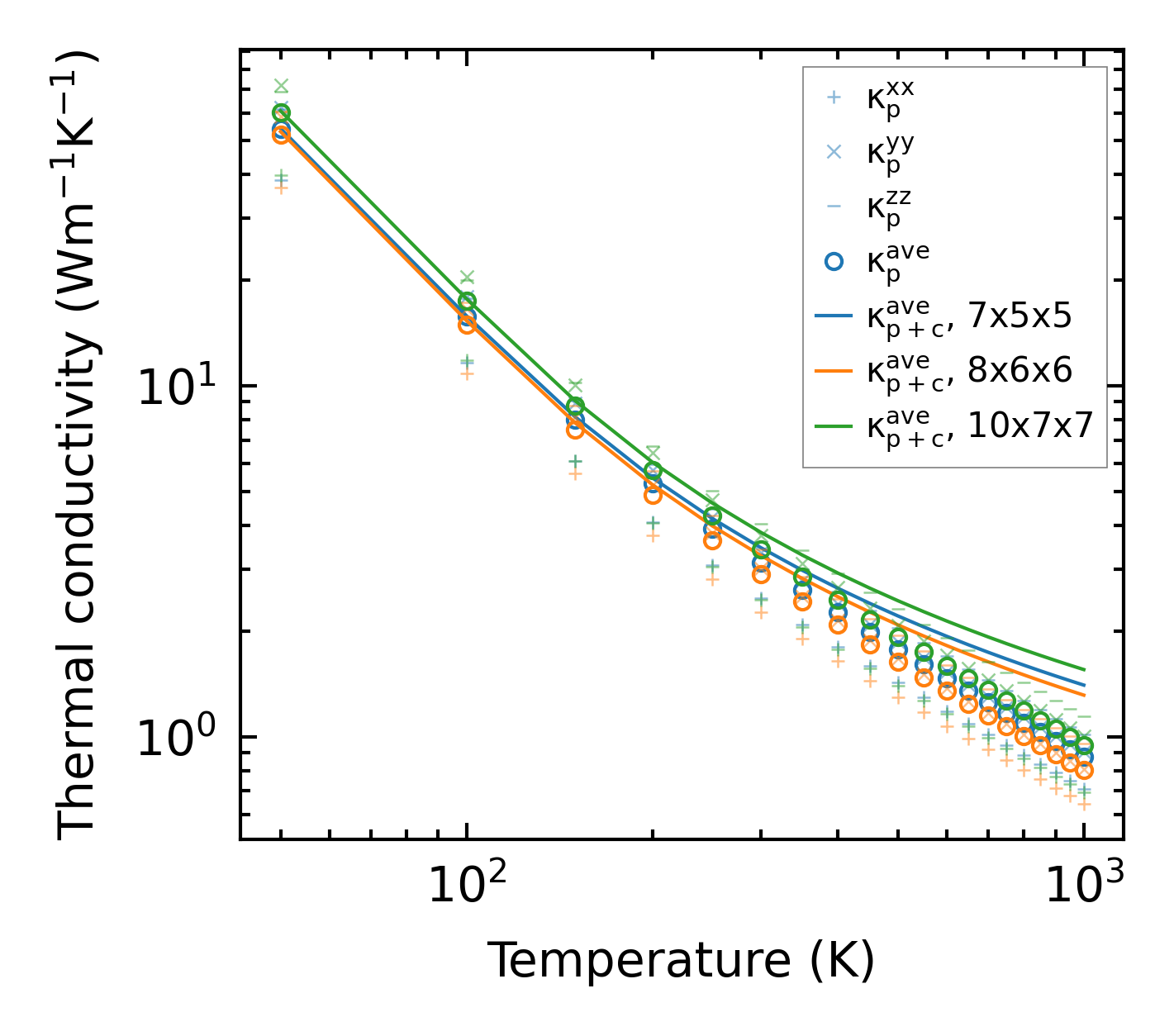
Summary

../../_images/fig_kappa6396.png

(a) Temperature-dependent lattice thermal conductivity

../../_images/fig_times14553.png

(b) Computation time