mp-558317/KNaPrNbO5/anharm

Harmonic properties

../../_images/fig_bandos_pr7995.png

(a) Phonon dispersion with participation ratio and DOS

../../_images/fig_thermo7995.png

(b) Thermodynamic properties

Grüneisen parameters

../../_images/fig_gru_all3305.png

(a) Grüneisen parameters

../../_images/fig_gruneisen3305.png

(b) Phonon dispersion with Grüneisen parameters

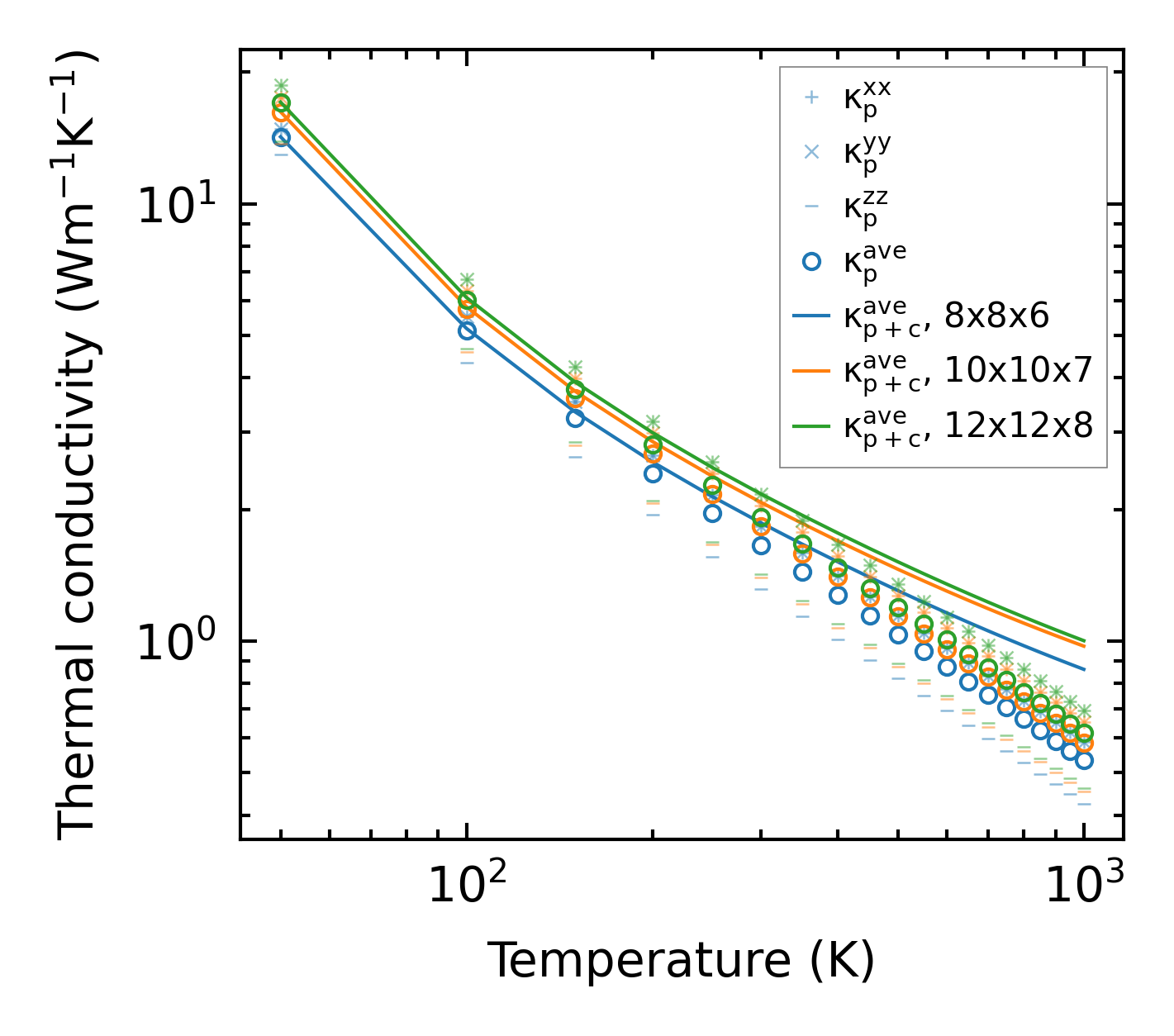
Thermal conductivity

3-phonon (LASSO) — q-mesh: 12x12x8, supercell: 2x2x2

../../_images/fig_kappa6260.png

(a) Temperature-dependent lattice thermal conductivity

../../_images/fig_kappa_vs_grain_size3349.png

(b) Peierls lattice thermal conductivity w.r.t grain size

Phonon lifetime and scattering rates

../../_images/fig_lifetime3277.png

(a) Phonon lifetime due to phonon-phonon scattering

../../_images/fig_scat_rates3276.png

(b) Phonon scattering rates

Cumulative and spectral thermal conductivity

../../_images/fig_cumu_frequency3277.png

(a) Spectral and cumulative thermal conductivity w.r.t frequency

../../_images/fig_cumu_mfp3276.png

(b) Spectral and cumulative thermal conductivity w.r.t MFP

Force constants

../../_images/fig_fc27757.png

(a) Force constants w.r.t atomic distance

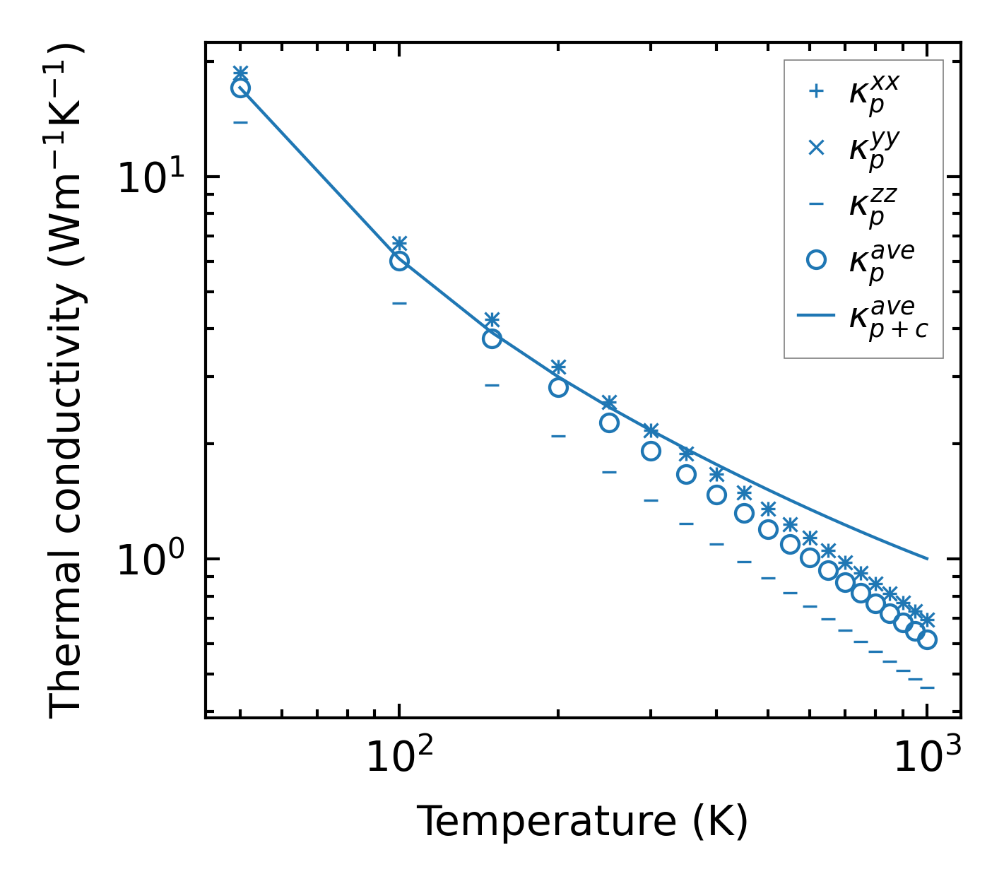
Summary

../../_images/fig_kappa6261.png

(a) Temperature-dependent lattice thermal conductivity

../../_images/fig_times14100.png

(b) Computation time