mp-558751/CaBi2O4/harm

Harmonic properties

../../_images/fig_bandos_pr8084.png

(a) Phonon dispersion with participation ratio and DOS

../../_images/fig_bandos11368.png

(b) Phonon dispersion and DOS

../../_images/fig_thermo8084.png

(c) Thermodynamic properties

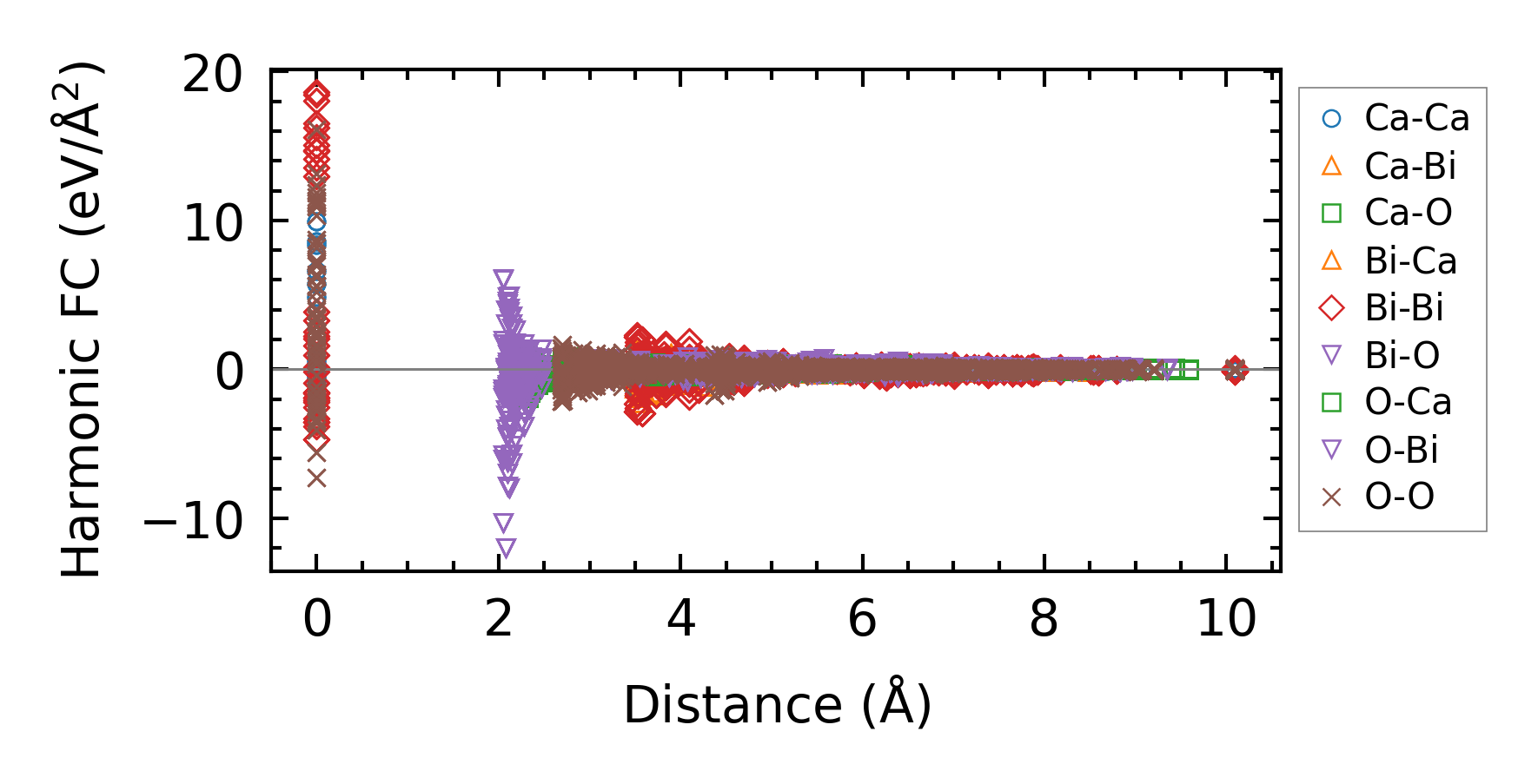
Force constants

../../_images/fig_fc27846.png

(a) Force constants w.r.t atomic distance

Summary

../../_images/fig_times14246.png

(a) Computation time