mp-558071/RbS/anharm

Harmonic properties

../../_images/fig_bandos_pr8259.png

(a) Phonon dispersion with participation ratio and DOS

../../_images/fig_thermo8259.png

(b) Thermodynamic properties

Grüneisen parameters

../../_images/fig_gru_all3375.png

(a) Grüneisen parameters

../../_images/fig_gruneisen3375.png

(b) Phonon dispersion with Grüneisen parameters

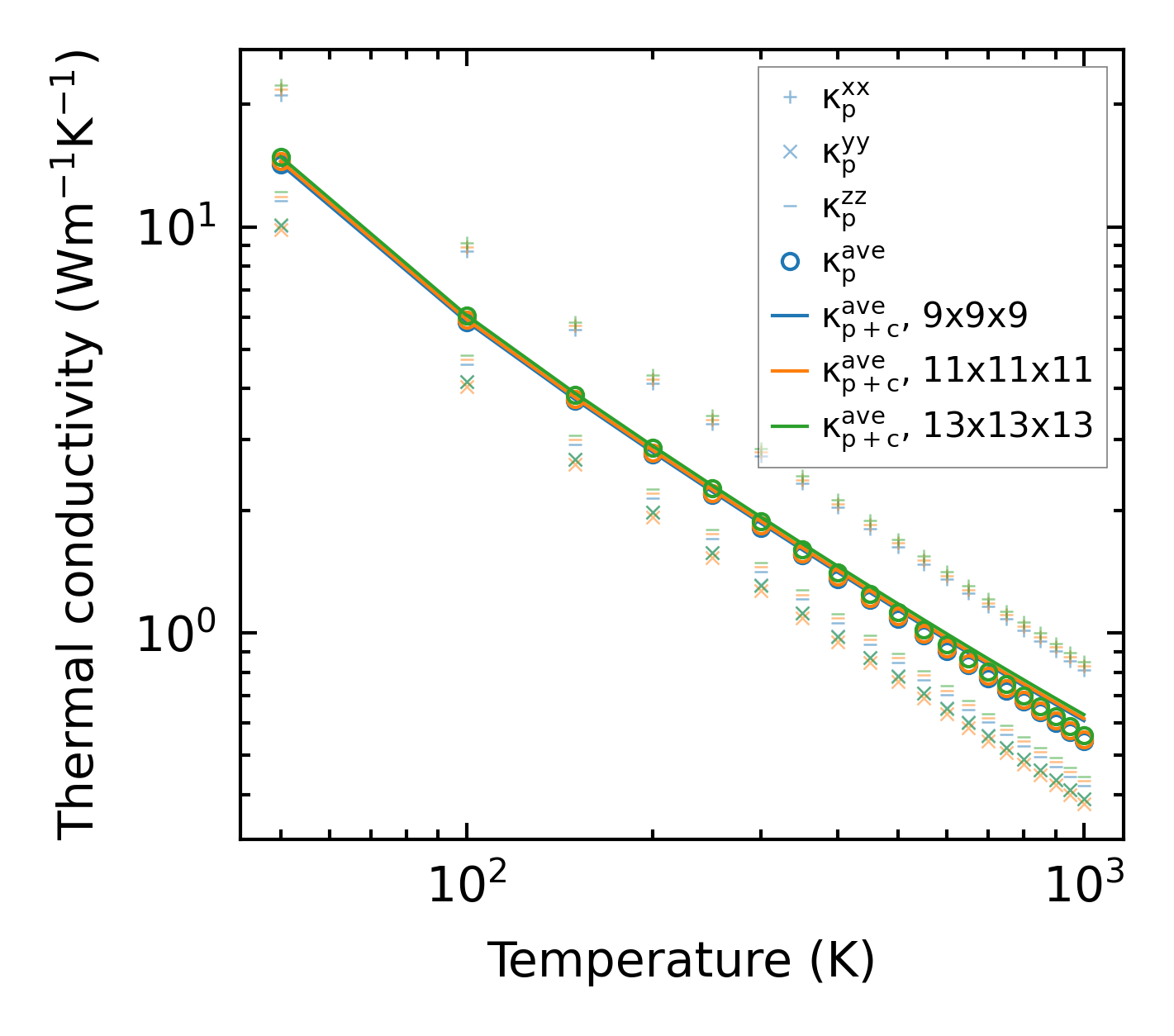
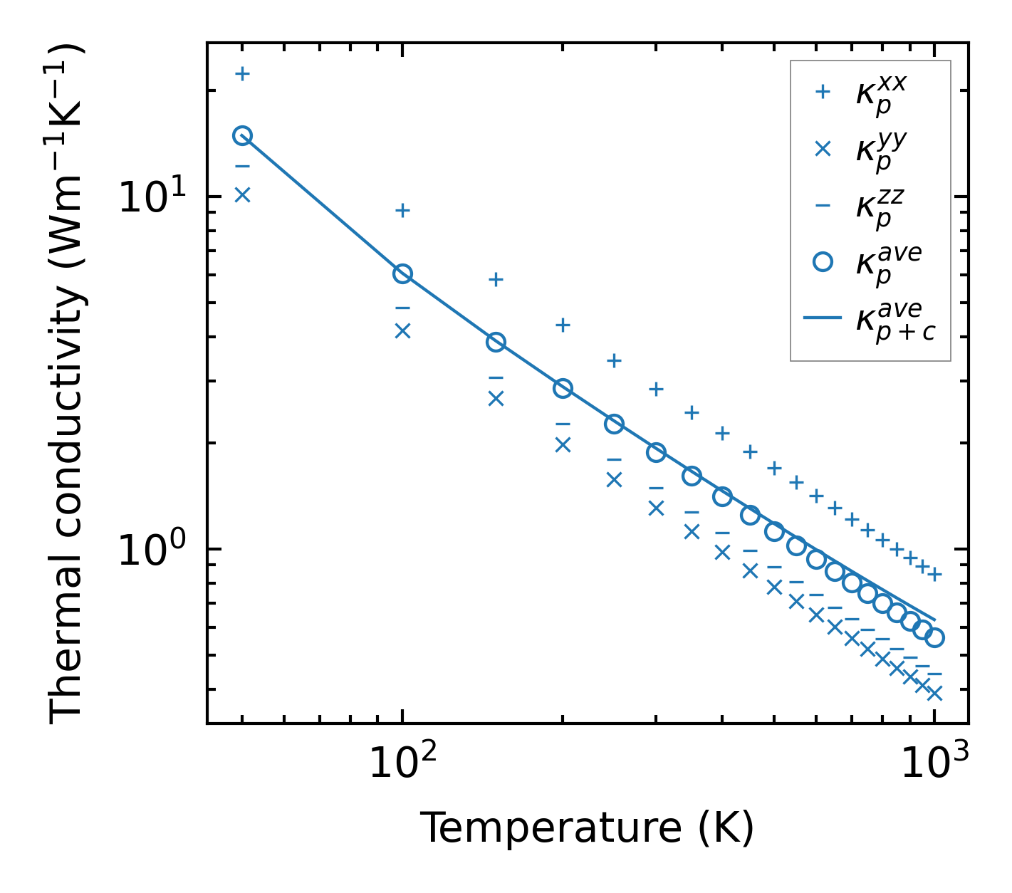
Thermal conductivity

3-phonon (LASSO) — q-mesh: 13x13x13, supercell: 3x3x2

../../_images/fig_kappa6386.png

(a) Temperature-dependent lattice thermal conductivity

../../_images/fig_kappa_vs_grain_size3419.png

(b) Peierls lattice thermal conductivity w.r.t grain size

Phonon lifetime and scattering rates

../../_images/fig_lifetime3344.png

(a) Phonon lifetime due to phonon-phonon scattering

../../_images/fig_scat_rates3343.png

(b) Phonon scattering rates

Cumulative and spectral thermal conductivity

../../_images/fig_cumu_frequency3344.png

(a) Spectral and cumulative thermal conductivity w.r.t frequency

../../_images/fig_cumu_mfp3343.png

(b) Spectral and cumulative thermal conductivity w.r.t MFP

Force constants

../../_images/fig_fc28021.png

(a) Force constants w.r.t atomic distance

Summary

../../_images/fig_kappa6387.png

(a) Temperature-dependent lattice thermal conductivity

../../_images/fig_times14520.png

(b) Computation time