mp-558170-2/Rb3PO4/anharm

Equation of state

../../_images/fig_bm4092.png

(a) Equation of state

Harmonic properties

../../_images/fig_bandos_pr7957.png

(a) Phonon dispersion with participation ratio and DOS

../../_images/fig_thermo7957.png

(b) Thermodynamic properties

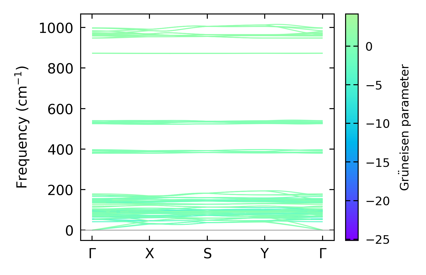
Grüneisen parameters

../../_images/fig_gru_all3289.png

(a) Grüneisen parameters

../../_images/fig_gruneisen3289.png

(b) Phonon dispersion with Grüneisen parameters

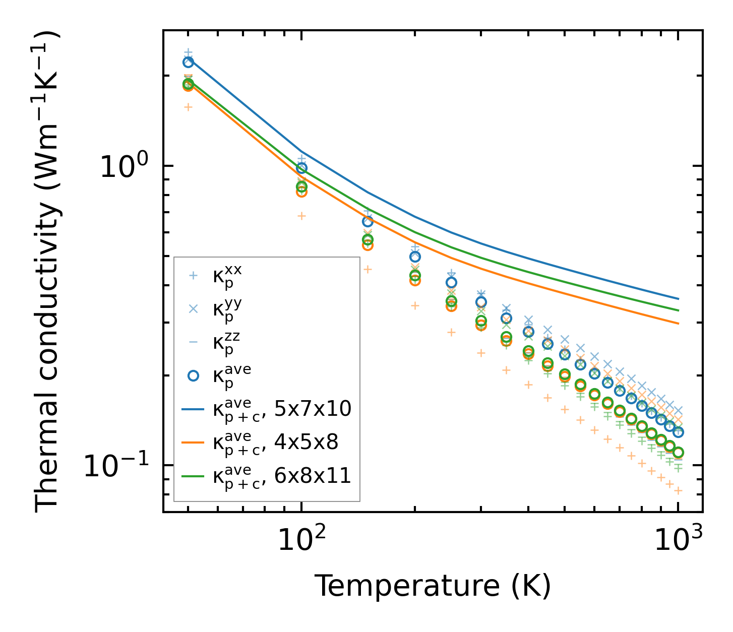
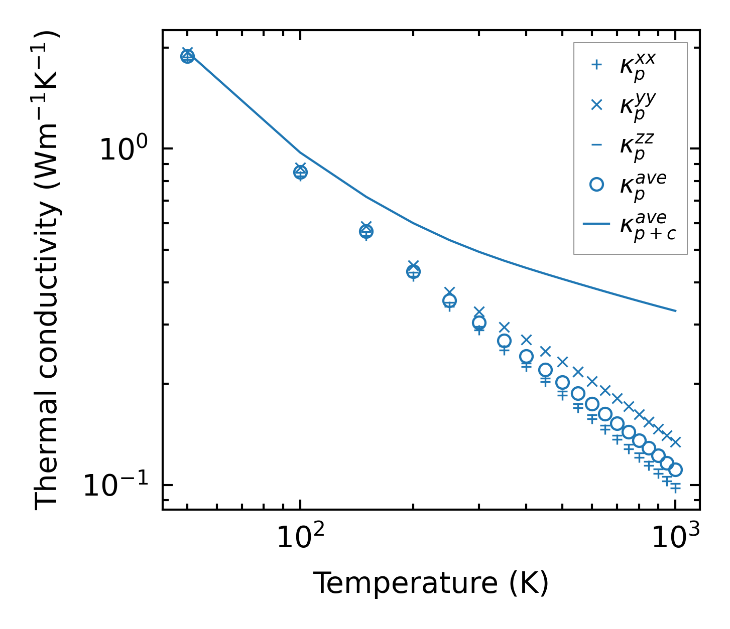
Thermal conductivity

3-phonon (LASSO) — q-mesh: 6x8x11, supercell: 1x2x2

../../_images/fig_kappa6230.png

(a) Temperature-dependent lattice thermal conductivity

../../_images/fig_kappa_vs_grain_size3332.png

(b) Peierls lattice thermal conductivity w.r.t grain size

Phonon lifetime and scattering rates

../../_images/fig_lifetime3261.png

(a) Phonon lifetime due to phonon-phonon scattering

../../_images/fig_scat_rates3260.png

(b) Phonon scattering rates

Cumulative and spectral thermal conductivity

../../_images/fig_cumu_frequency3261.png

(a) Spectral and cumulative thermal conductivity w.r.t frequency

../../_images/fig_cumu_mfp3260.png

(b) Spectral and cumulative thermal conductivity w.r.t MFP

Force constants

../../_images/fig_fc27719.png

(a) Force constants w.r.t atomic distance

Summary

../../_images/fig_kappa6231.png

(a) Temperature-dependent lattice thermal conductivity

../../_images/fig_times14032.png

(b) Computation time