mp-558332/K5AuI2O2/anharm

Harmonic properties

../../_images/fig_bandos_pr7998.png

(a) Phonon dispersion with participation ratio and DOS

../../_images/fig_thermo7998.png

(b) Thermodynamic properties

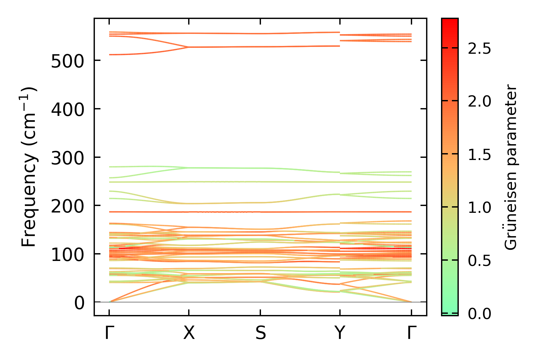
Grüneisen parameters

../../_images/fig_gru_all3306.png

(a) Grüneisen parameters

../../_images/fig_gruneisen3306.png

(b) Phonon dispersion with Grüneisen parameters

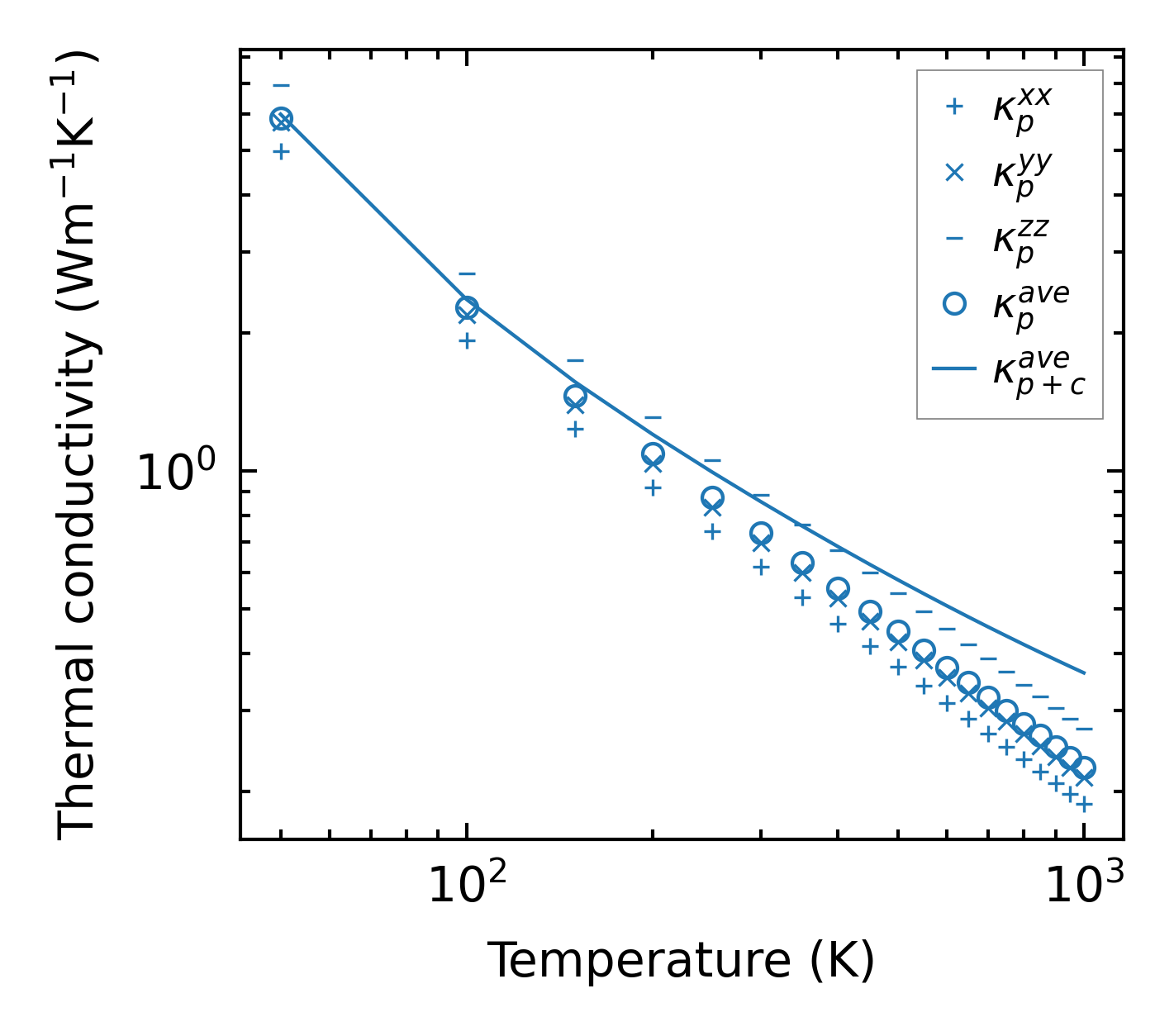
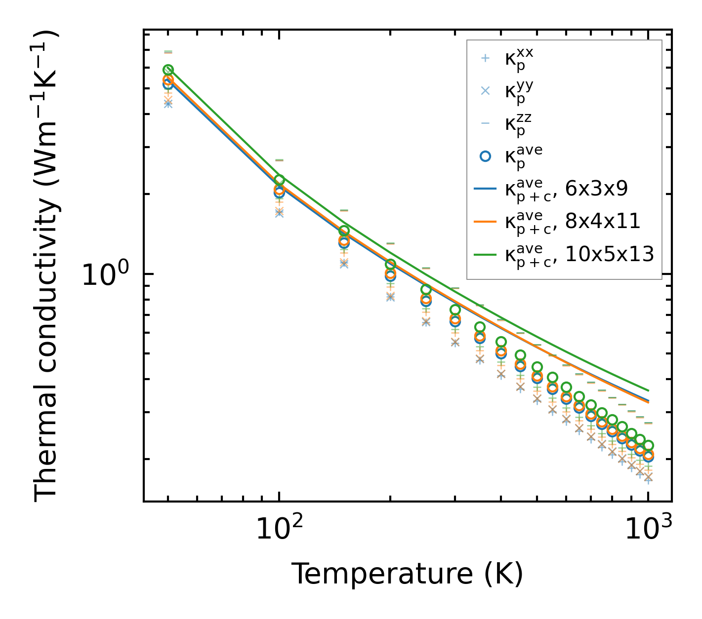
Thermal conductivity

3-phonon (LASSO) — q-mesh: 10x5x13, supercell: 2x1x3

../../_images/fig_kappa6262.png

(a) Temperature-dependent lattice thermal conductivity

../../_images/fig_kappa_vs_grain_size3350.png

(b) Peierls lattice thermal conductivity w.r.t grain size

Phonon lifetime and scattering rates

../../_images/fig_lifetime3278.png

(a) Phonon lifetime due to phonon-phonon scattering

../../_images/fig_scat_rates3277.png

(b) Phonon scattering rates

Cumulative and spectral thermal conductivity

../../_images/fig_cumu_frequency3278.png

(a) Spectral and cumulative thermal conductivity w.r.t frequency

../../_images/fig_cumu_mfp3277.png

(b) Spectral and cumulative thermal conductivity w.r.t MFP

Force constants

../../_images/fig_fc27760.png

(a) Force constants w.r.t atomic distance

Summary

../../_images/fig_kappa6263.png

(a) Temperature-dependent lattice thermal conductivity

../../_images/fig_times14106.png

(b) Computation time