mp-558501/KBi6IO9/anharm

Harmonic properties

../../_images/fig_bandos_pr8033.png

(a) Phonon dispersion with participation ratio and DOS

../../_images/fig_thermo8033.png

(b) Thermodynamic properties

Grüneisen parameters

../../_images/fig_gru_all3317.png

(a) Grüneisen parameters

../../_images/fig_gruneisen3317.png

(b) Phonon dispersion with Grüneisen parameters

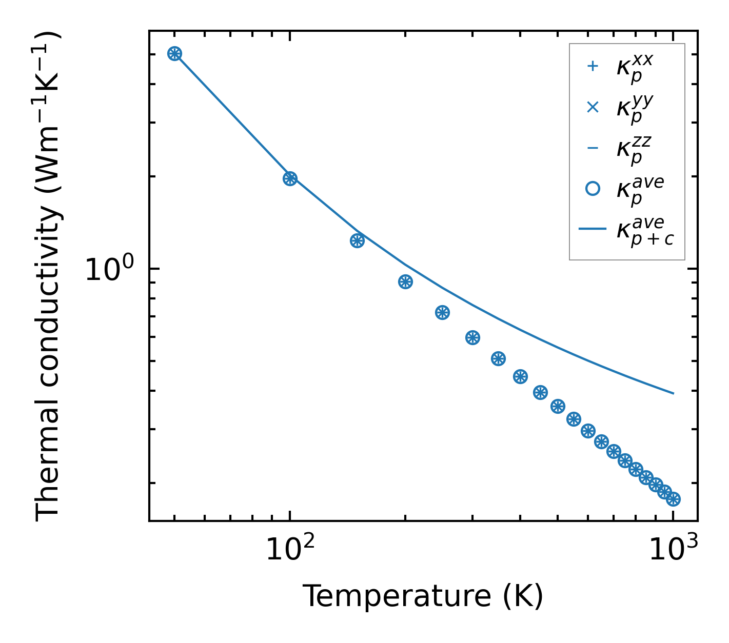
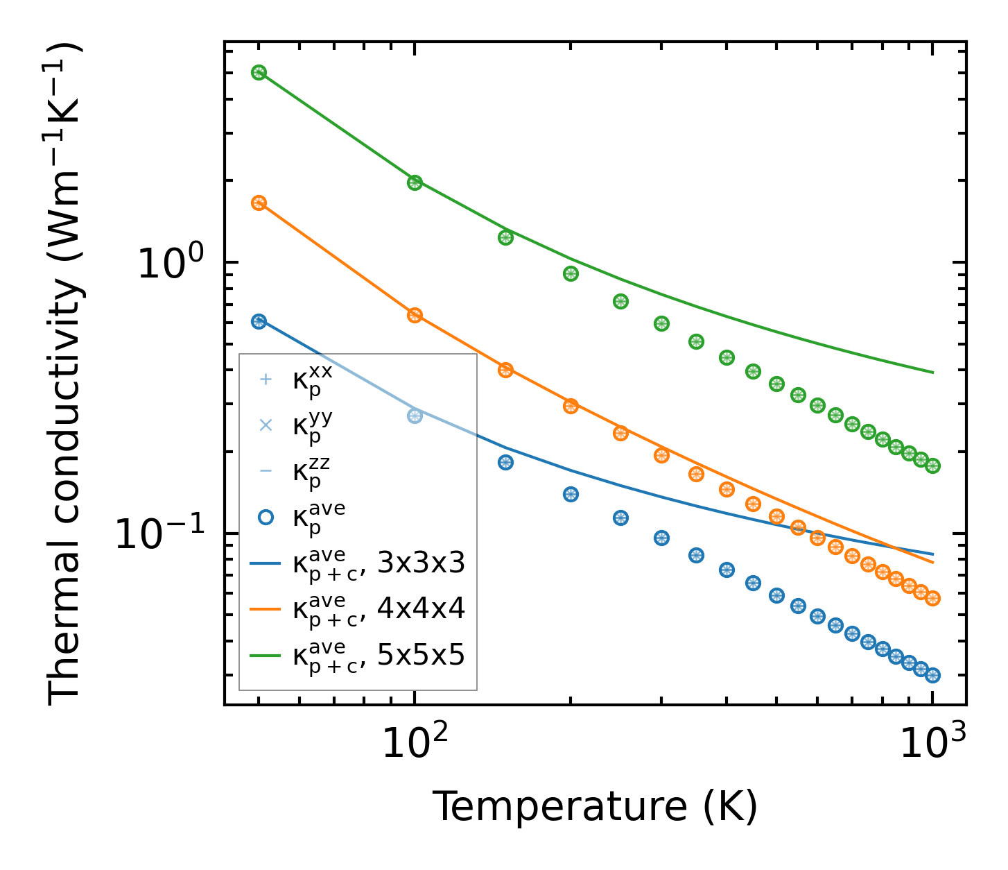
Thermal conductivity

3-phonon (LASSO) — q-mesh: 5x5x5, supercell: 1x1x1

../../_images/fig_kappa6282.png

(a) Temperature-dependent lattice thermal conductivity

../../_images/fig_kappa_vs_grain_size3361.png

(b) Peierls lattice thermal conductivity w.r.t grain size

Phonon lifetime and scattering rates

../../_images/fig_lifetime3289.png

(a) Phonon lifetime due to phonon-phonon scattering

../../_images/fig_scat_rates3288.png

(b) Phonon scattering rates

Cumulative and spectral thermal conductivity

../../_images/fig_cumu_frequency3289.png

(a) Spectral and cumulative thermal conductivity w.r.t frequency

../../_images/fig_cumu_mfp3288.png

(b) Spectral and cumulative thermal conductivity w.r.t MFP

Force constants

../../_images/fig_fc27795.png

(a) Force constants w.r.t atomic distance

Summary

../../_images/fig_kappa6283.png

(a) Temperature-dependent lattice thermal conductivity

../../_images/fig_times14159.png

(b) Computation time