mp-558186-2/RbLu3F10/anharm

Equation of state

../../_images/fig_bm4094.png

(a) Equation of state

Harmonic properties

../../_images/fig_bandos_pr7959.png

(a) Phonon dispersion with participation ratio and DOS

../../_images/fig_bandos11192.png

(b) Phonon dispersion and DOS

../../_images/fig_thermo7959.png

(c) Thermodynamic properties

Grüneisen parameters

../../_images/fig_gru_all3290.png

(a) Grüneisen parameters

../../_images/fig_gruneisen3290.png

(b) Phonon dispersion with Grüneisen parameters

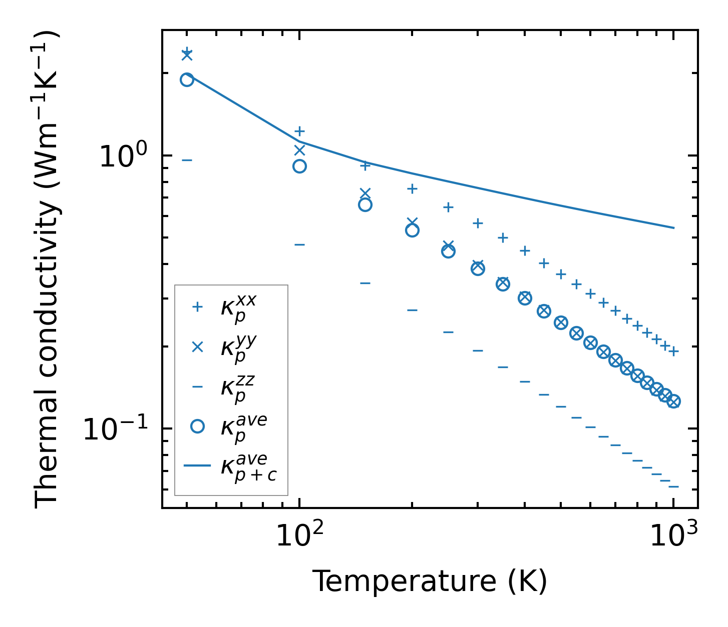
Thermal conductivity

3-phonon (LASSO), supercell 2x1x1 — q-mesh: 9x9x4, supercell: 2x1x1

../../_images/fig_kappa6232.png

(a) Temperature-dependent lattice thermal conductivity

../../_images/fig_kappa_vs_grain_size3333.png

(b) Peierls lattice thermal conductivity w.r.t grain size

Phonon lifetime and scattering rates

../../_images/fig_lifetime3262.png

(a) Phonon lifetime due to phonon-phonon scattering

../../_images/fig_scat_rates3261.png

(b) Phonon scattering rates

Cumulative and spectral thermal conductivity

../../_images/fig_cumu_frequency3262.png

(a) Spectral and cumulative thermal conductivity w.r.t frequency

../../_images/fig_cumu_mfp3261.png

(b) Spectral and cumulative thermal conductivity w.r.t MFP

Force constants

../../_images/fig_fc27721.png

(a) Force constants w.r.t atomic distance

Summary

../../_images/fig_times14036.png

(a) Computation time