mp-558195/Ba2HoB2ClO6/anharm

Harmonic properties

../../_images/fig_bandos_pr7964.png

(a) Phonon dispersion with participation ratio and DOS

../../_images/fig_bandos11198.png

(b) Phonon dispersion and DOS

../../_images/fig_thermo7964.png

(c) Thermodynamic properties

Grüneisen parameters

../../_images/fig_gru_all3293.png

(a) Grüneisen parameters

../../_images/fig_gruneisen3293.png

(b) Phonon dispersion with Grüneisen parameters

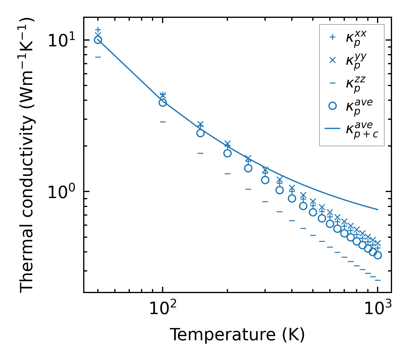
Thermal conductivity

3-phonon (LASSO) — q-mesh: 11x13x6, supercell: 2x3x1

../../_images/fig_kappa6237.png

(a) Temperature-dependent lattice thermal conductivity

../../_images/fig_kappa_vs_grain_size3336.png

(b) Peierls lattice thermal conductivity w.r.t grain size

Phonon lifetime and scattering rates

../../_images/fig_lifetime3265.png

(a) Phonon lifetime due to phonon-phonon scattering

../../_images/fig_scat_rates3264.png

(b) Phonon scattering rates

Cumulative and spectral thermal conductivity

../../_images/fig_cumu_frequency3265.png

(a) Spectral and cumulative thermal conductivity w.r.t frequency

../../_images/fig_cumu_mfp3264.png

(b) Spectral and cumulative thermal conductivity w.r.t MFP

Force constants

../../_images/fig_fc27726.png

(a) Force constants w.r.t atomic distance

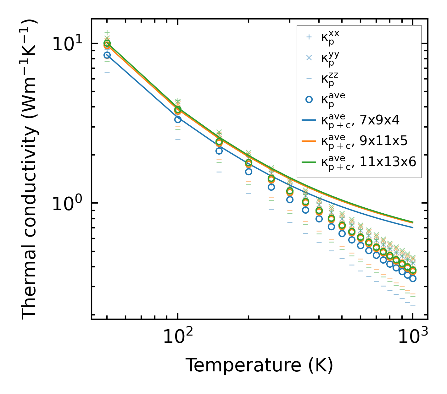
Summary

../../_images/fig_kappa6238.png

(a) Temperature-dependent lattice thermal conductivity

../../_images/fig_times14044.png

(b) Computation time