mp-558628/KLi2BO3/anharm

Equation of state

../../_images/fig_bm4137.png

(a) Equation of state

Harmonic properties

../../_images/fig_bandos_pr8062.png

(a) Phonon dispersion with participation ratio and DOS

../../_images/fig_thermo8062.png

(b) Thermodynamic properties

Grüneisen parameters

../../_images/fig_gru_all3327.png

(a) Grüneisen parameters

../../_images/fig_gruneisen3327.png

(b) Phonon dispersion with Grüneisen parameters

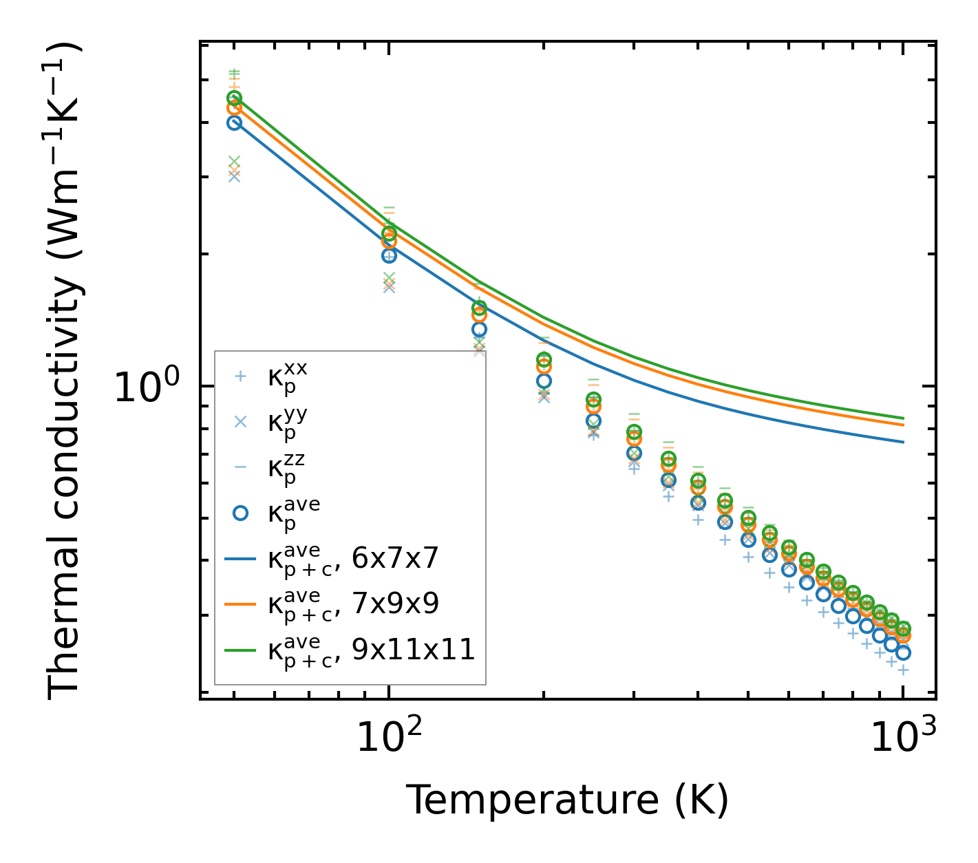
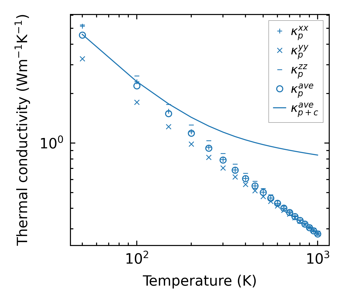
Thermal conductivity

3-phonon (LASSO) — q-mesh: 9x11x11, supercell: 1x2x2

../../_images/fig_kappa6299.png

(a) Temperature-dependent lattice thermal conductivity

../../_images/fig_kappa_vs_grain_size3370.png

(b) Peierls lattice thermal conductivity w.r.t grain size

Phonon lifetime and scattering rates

../../_images/fig_lifetime3297.png

(a) Phonon lifetime due to phonon-phonon scattering

../../_images/fig_scat_rates3296.png

(b) Phonon scattering rates

Cumulative and spectral thermal conductivity

../../_images/fig_cumu_frequency3297.png

(a) Spectral and cumulative thermal conductivity w.r.t frequency

../../_images/fig_cumu_mfp3296.png

(b) Spectral and cumulative thermal conductivity w.r.t MFP

Force constants

../../_images/fig_fc27824.png

(a) Force constants w.r.t atomic distance

Summary

../../_images/fig_kappa6300.png

(a) Temperature-dependent lattice thermal conductivity

../../_images/fig_times14207.png

(b) Computation time