mp-558285-2/GaBiO3/anharm

Equation of state

../../_images/fig_bm4108.png

(a) Equation of state

Harmonic properties

../../_images/fig_bandos_pr7988.png

(a) Phonon dispersion with participation ratio and DOS

../../_images/fig_thermo7988.png

(b) Thermodynamic properties

Grüneisen parameters

../../_images/fig_gru_all3303.png

(a) Grüneisen parameters

../../_images/fig_gruneisen3303.png

(b) Phonon dispersion with Grüneisen parameters

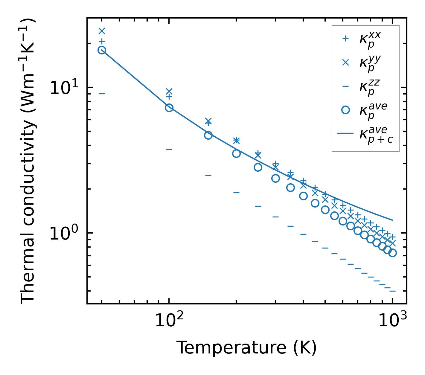
Thermal conductivity

3-phonon (LASSO) — q-mesh: 13x13x7, supercell: 2x2x1

../../_images/fig_kappa6256.png

(a) Temperature-dependent lattice thermal conductivity

../../_images/fig_kappa_vs_grain_size3346.png

(b) Peierls lattice thermal conductivity w.r.t grain size

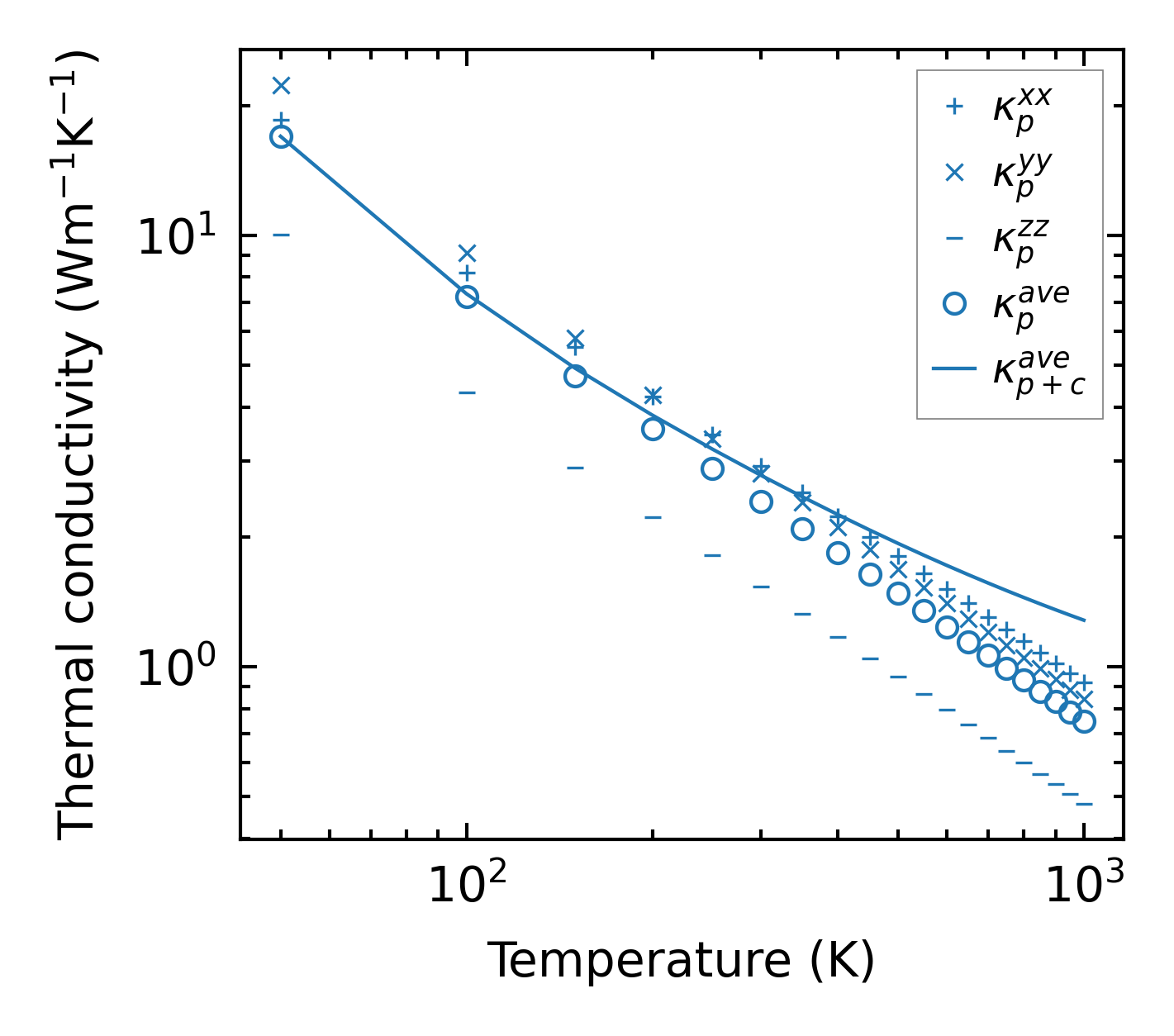
3-phonon (LASSO), supercell 2x2x2 — q-mesh: 13x13x7, supercell: 2x2x2

../../_images/fig_kappa6257.png

(a) Temperature-dependent lattice thermal conductivity

../../_images/fig_kappa_vs_grain_size3347.png

(b) Peierls lattice thermal conductivity w.r.t grain size

Phonon lifetime and scattering rates

../../_images/fig_lifetime3275.png

(a) Phonon lifetime due to phonon-phonon scattering

../../_images/fig_scat_rates3274.png

(b) Phonon scattering rates

Cumulative and spectral thermal conductivity

../../_images/fig_cumu_frequency3275.png

(a) Spectral and cumulative thermal conductivity w.r.t frequency

../../_images/fig_cumu_mfp3274.png

(b) Spectral and cumulative thermal conductivity w.r.t MFP

Force constants

../../_images/fig_fc27750.png

(a) Force constants w.r.t atomic distance

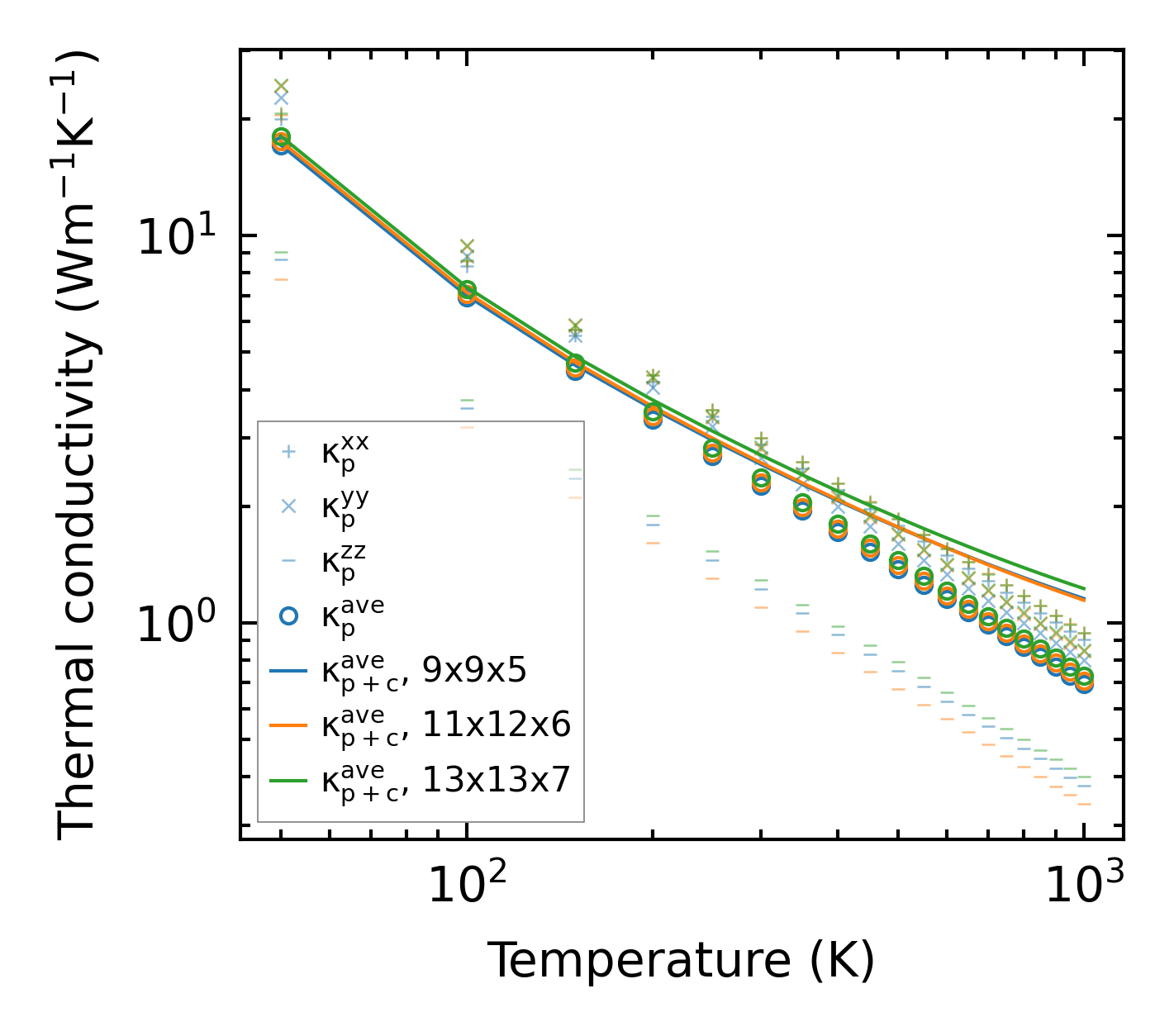
Summary

../../_images/fig_kappa6258.png

(a) Temperature-dependent lattice thermal conductivity

../../_images/fig_times14087.png

(b) Computation time