mp-558690/ZnB4O7/anharm

Harmonic properties

../../_images/fig_bandos_pr8075.png

(a) Phonon dispersion with participation ratio and DOS

../../_images/fig_bandos11356.png

(b) Phonon dispersion and DOS

../../_images/fig_thermo8075.png

(c) Thermodynamic properties

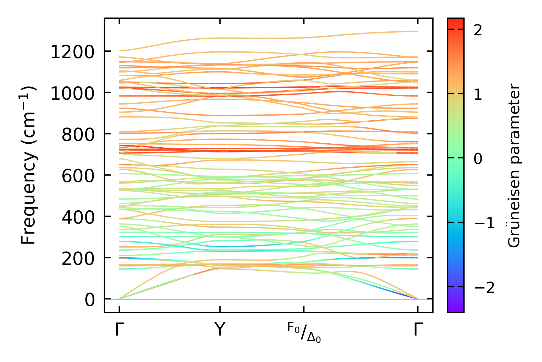
Grüneisen parameters

../../_images/fig_gru_all3333.png

(a) Grüneisen parameters

../../_images/fig_gruneisen3333.png

(b) Phonon dispersion with Grüneisen parameters

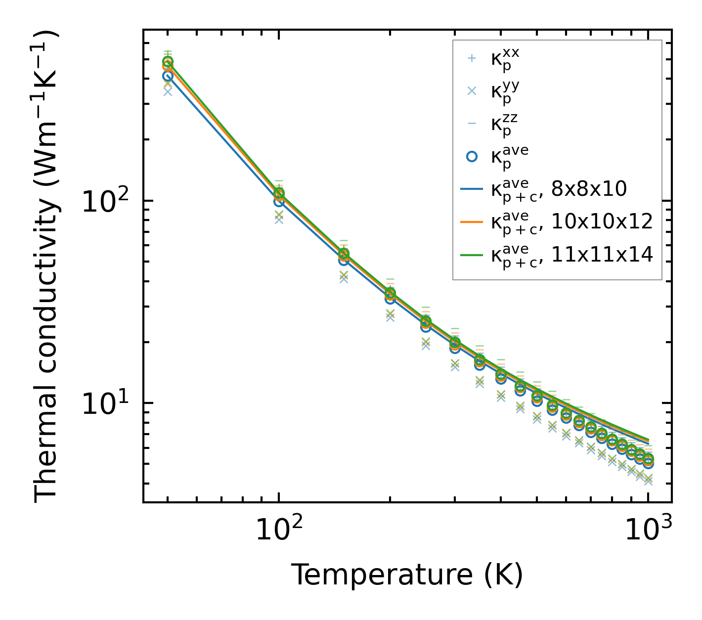
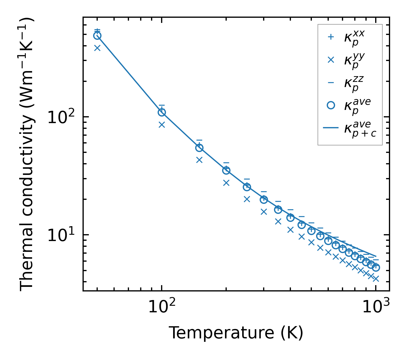
Thermal conductivity

3-phonon (LASSO) — q-mesh: 11x11x14, supercell: 1x1x2

../../_images/fig_kappa6309.png

(a) Temperature-dependent lattice thermal conductivity

../../_images/fig_kappa_vs_grain_size3376.png

(b) Peierls lattice thermal conductivity w.r.t grain size

Phonon lifetime and scattering rates

../../_images/fig_lifetime3303.png

(a) Phonon lifetime due to phonon-phonon scattering

../../_images/fig_scat_rates3302.png

(b) Phonon scattering rates

Cumulative and spectral thermal conductivity

../../_images/fig_cumu_frequency3303.png

(a) Spectral and cumulative thermal conductivity w.r.t frequency

../../_images/fig_cumu_mfp3302.png

(b) Spectral and cumulative thermal conductivity w.r.t MFP

Force constants

../../_images/fig_fc27837.png

(a) Force constants w.r.t atomic distance

Summary

../../_images/fig_kappa6310.png

(a) Temperature-dependent lattice thermal conductivity

../../_images/fig_times14232.png

(b) Computation time