mp-558907-2/CsCuBi2S4/anharm

Equation of state

../../_images/fig_bm4160.png

(a) Equation of state

Harmonic properties

../../_images/fig_bandos_pr8115.png

(a) Phonon dispersion with participation ratio and DOS

../../_images/fig_thermo8115.png

(b) Thermodynamic properties

Grüneisen parameters

../../_images/fig_gru_all3343.png

(a) Grüneisen parameters

../../_images/fig_gruneisen3343.png

(b) Phonon dispersion with Grüneisen parameters

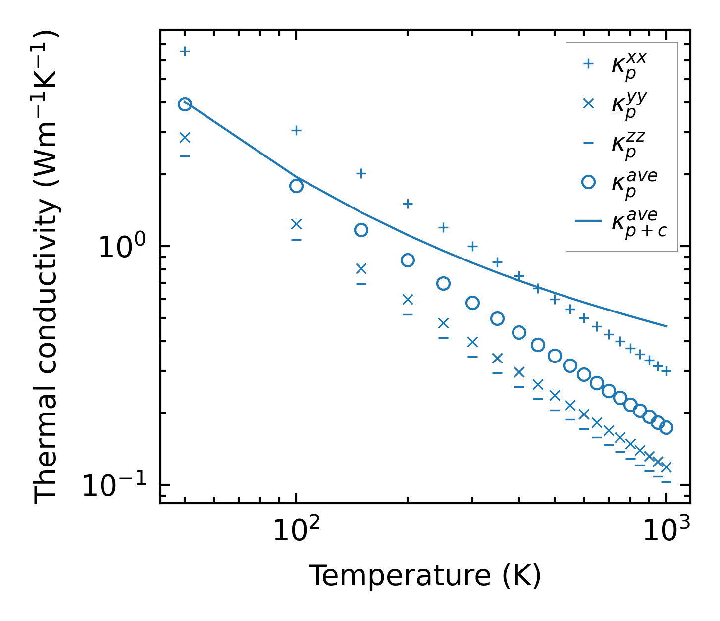
Thermal conductivity

3-phonon (LASSO) — q-mesh: 12x12x6, supercell: 4x1x1

../../_images/fig_kappa6329.png

(a) Temperature-dependent lattice thermal conductivity

../../_images/fig_kappa_vs_grain_size3386.png

(b) Peierls lattice thermal conductivity w.r.t grain size

Phonon lifetime and scattering rates

../../_images/fig_lifetime3313.png

(a) Phonon lifetime due to phonon-phonon scattering

../../_images/fig_scat_rates3312.png

(b) Phonon scattering rates

Cumulative and spectral thermal conductivity

../../_images/fig_cumu_frequency3313.png

(a) Spectral and cumulative thermal conductivity w.r.t frequency

../../_images/fig_cumu_mfp3312.png

(b) Spectral and cumulative thermal conductivity w.r.t MFP

Force constants

../../_images/fig_fc27877.png

(a) Force constants w.r.t atomic distance

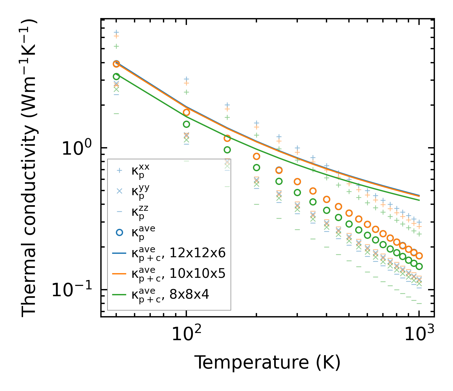
Summary

../../_images/fig_kappa6330.png

(a) Temperature-dependent lattice thermal conductivity

../../_images/fig_times14297.png

(b) Computation time