mp-558883-2/Y3Si2ClO8/anharm

Equation of state

../../_images/fig_bm4159.png

(a) Equation of state

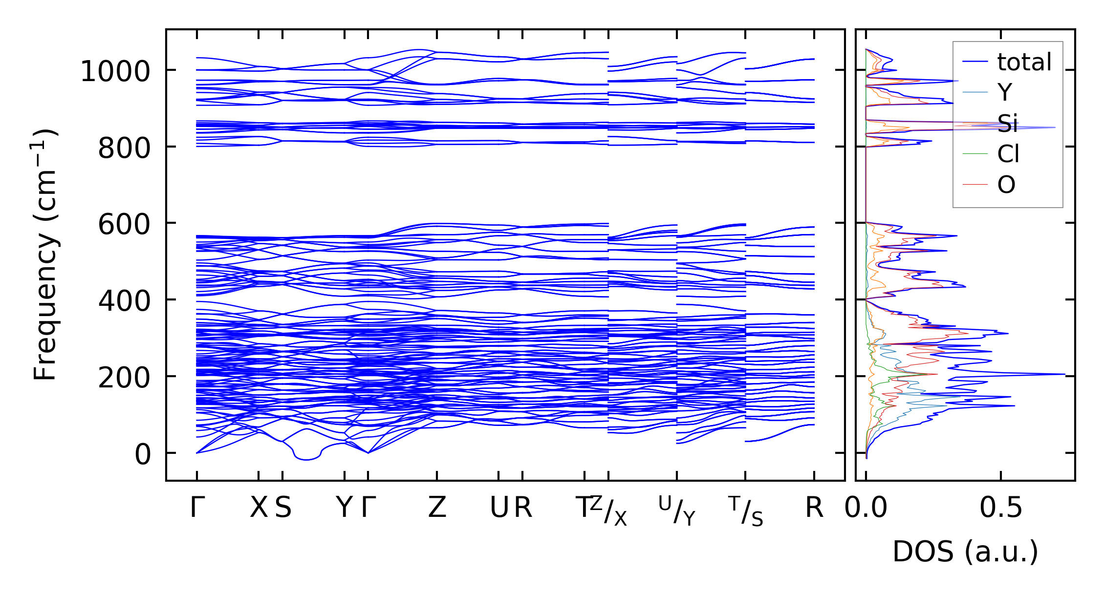
Harmonic properties

../../_images/fig_bandos_pr8111.png

(a) Phonon dispersion with participation ratio and DOS

../../_images/fig_bandos11409.png

(b) Phonon dispersion and DOS

../../_images/fig_thermo8111.png

(c) Thermodynamic properties

Grüneisen parameters

../../_images/fig_gru_all3340.png

(a) Grüneisen parameters

../../_images/fig_gruneisen3340.png

(b) Phonon dispersion with Grüneisen parameters

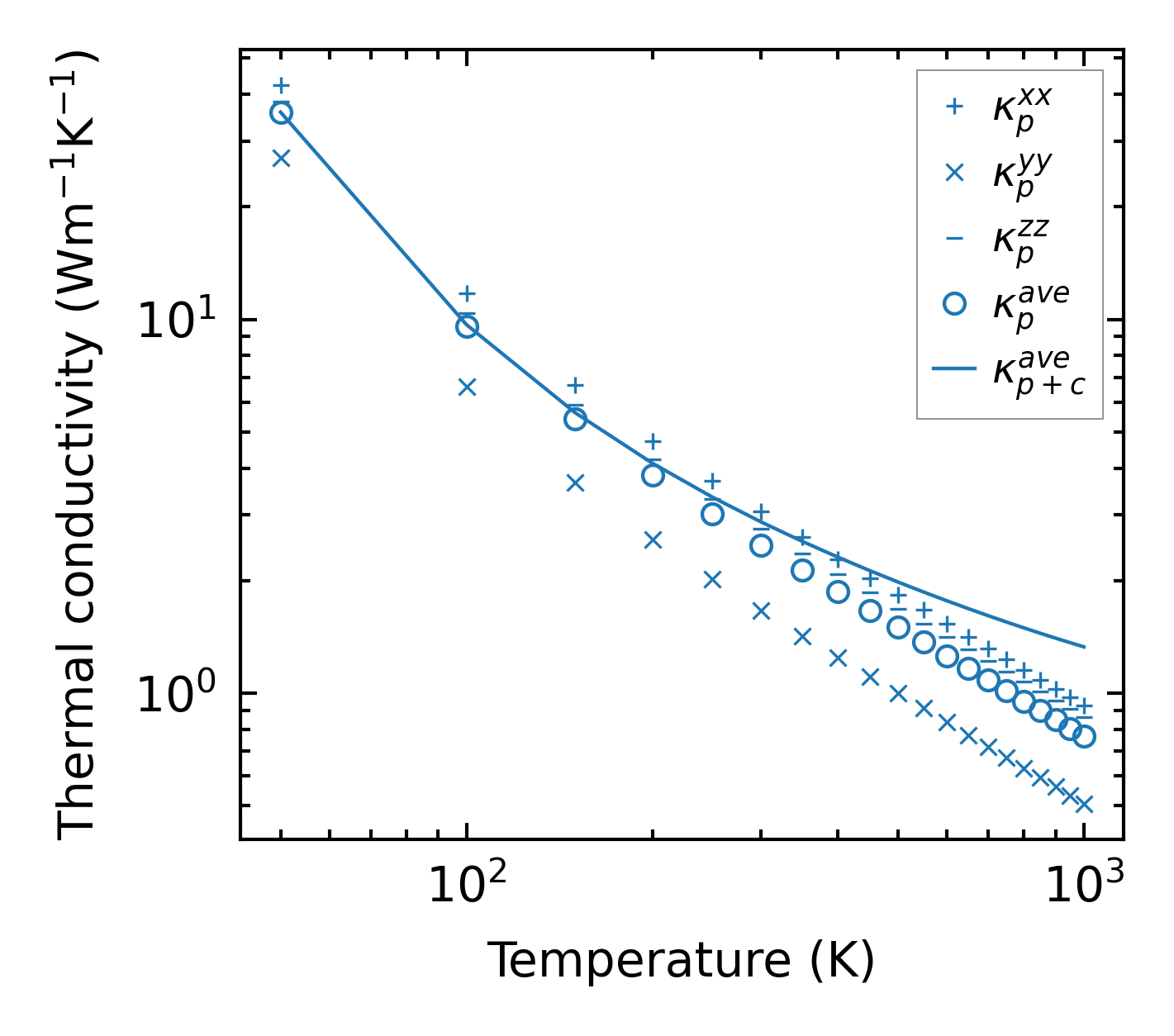
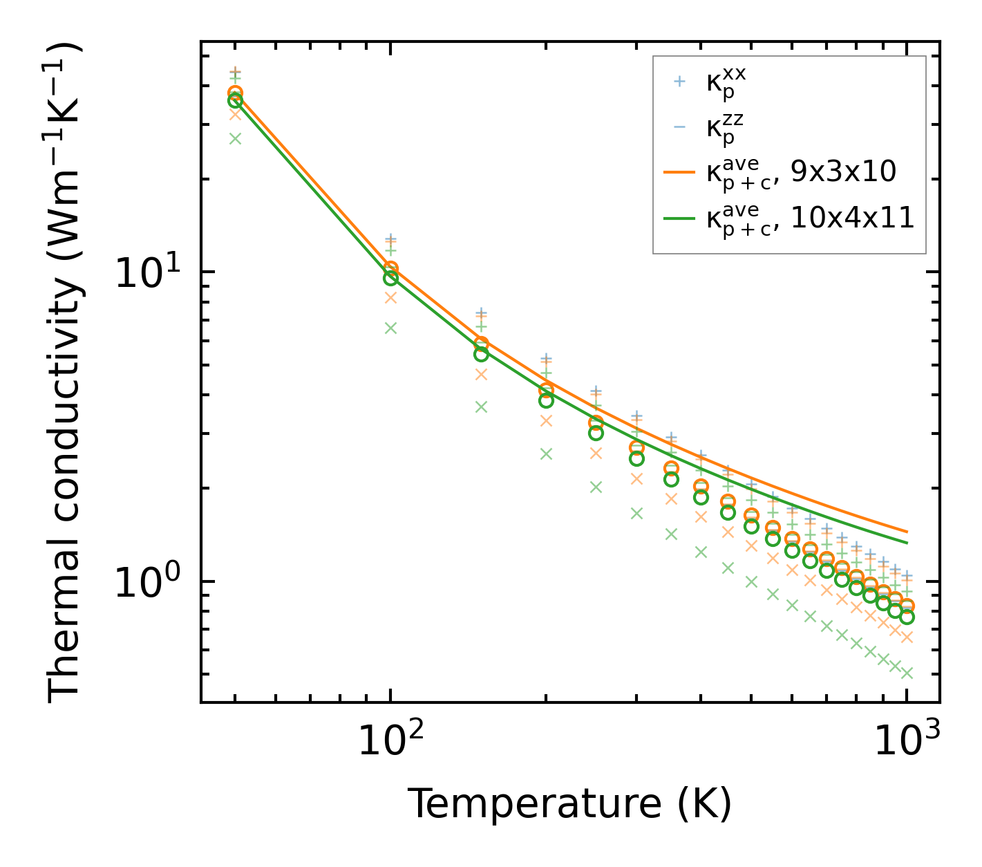
Thermal conductivity

3-phonon (LASSO) — q-mesh: 10x4x11, supercell: 1x1x2

../../_images/fig_kappa6323.png

(a) Temperature-dependent lattice thermal conductivity

../../_images/fig_kappa_vs_grain_size3383.png

(b) Peierls lattice thermal conductivity w.r.t grain size

Phonon lifetime and scattering rates

../../_images/fig_lifetime3310.png

(a) Phonon lifetime due to phonon-phonon scattering

../../_images/fig_scat_rates3309.png

(b) Phonon scattering rates

Cumulative and spectral thermal conductivity

../../_images/fig_cumu_frequency3310.png

(a) Spectral and cumulative thermal conductivity w.r.t frequency

../../_images/fig_cumu_mfp3309.png

(b) Spectral and cumulative thermal conductivity w.r.t MFP

Force constants

../../_images/fig_fc27873.png

(a) Force constants w.r.t atomic distance

Summary

../../_images/fig_kappa6324.png

(a) Temperature-dependent lattice thermal conductivity

../../_images/fig_times14290.png

(b) Computation time