mp-558005/HoMoClO4/harm

Harmonic properties

../../_images/fig_bandos_pr8241.png

(a) Phonon dispersion with participation ratio and DOS

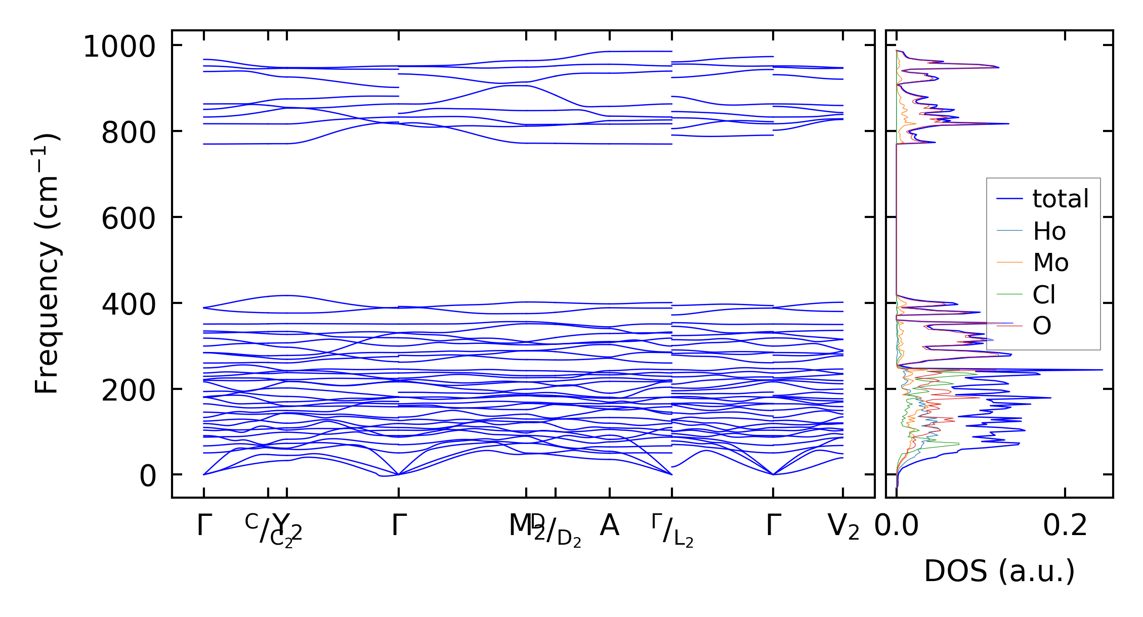
../../_images/fig_bandos11589.png

(b) Phonon dispersion and DOS

../../_images/fig_thermo8241.png

(c) Thermodynamic properties

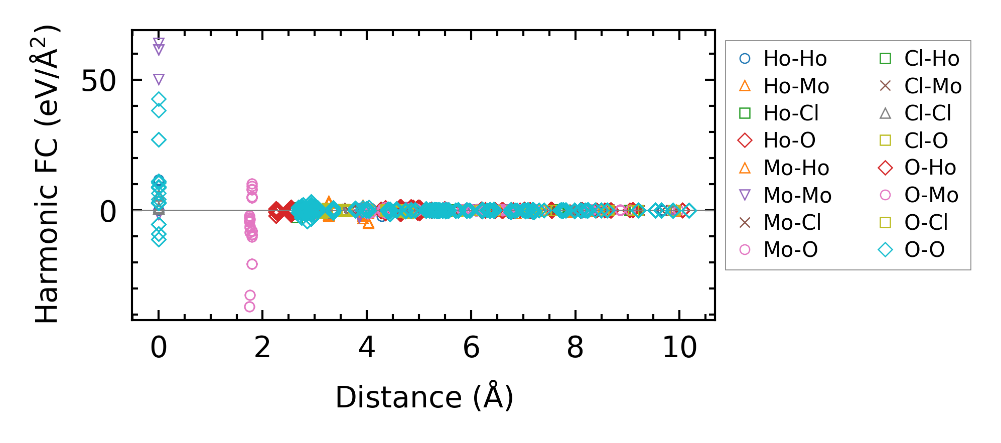
Force constants

../../_images/fig_fc28003.png

(a) Force constants w.r.t atomic distance

Summary

../../_images/fig_times14493.png

(a) Computation time