mp-558430/BaB2F8/harm

Harmonic properties

../../_images/fig_bandos_pr8019.png

(a) Phonon dispersion with participation ratio and DOS

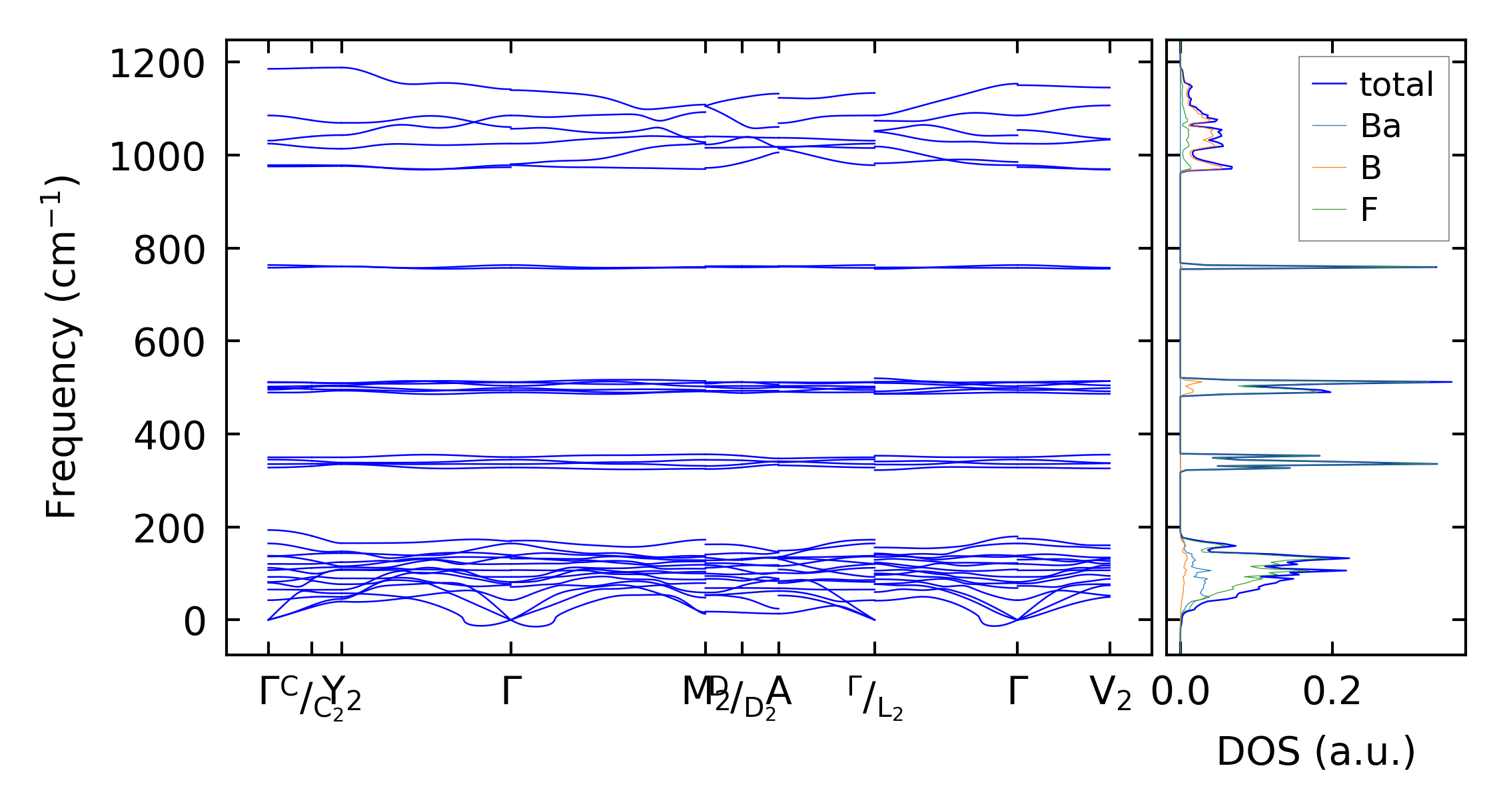
../../_images/fig_bandos11280.png

(b) Phonon dispersion and DOS

../../_images/fig_thermo8019.png

(c) Thermodynamic properties

Force constants

../../_images/fig_fc27781.png

(a) Force constants w.r.t atomic distance

Summary

../../_images/fig_times14140.png

(a) Computation time