mp-558907/CsCuBi2S4/anharm

Harmonic properties

../../_images/fig_bandos_pr8114.png

(a) Phonon dispersion with participation ratio and DOS

../../_images/fig_thermo8114.png

(b) Thermodynamic properties

Grüneisen parameters

../../_images/fig_gru_all3342.png

(a) Grüneisen parameters

../../_images/fig_gruneisen3342.png

(b) Phonon dispersion with Grüneisen parameters

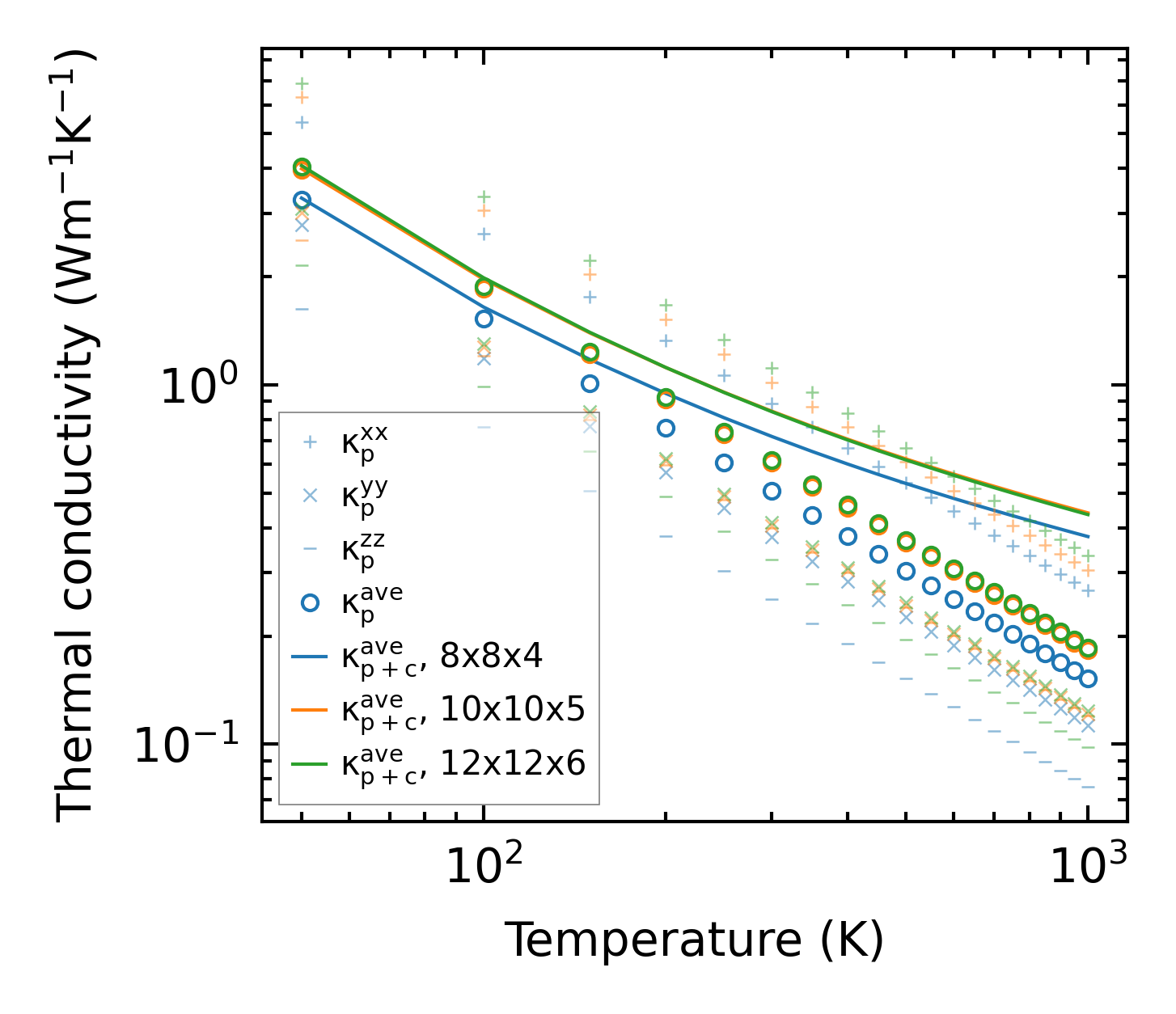
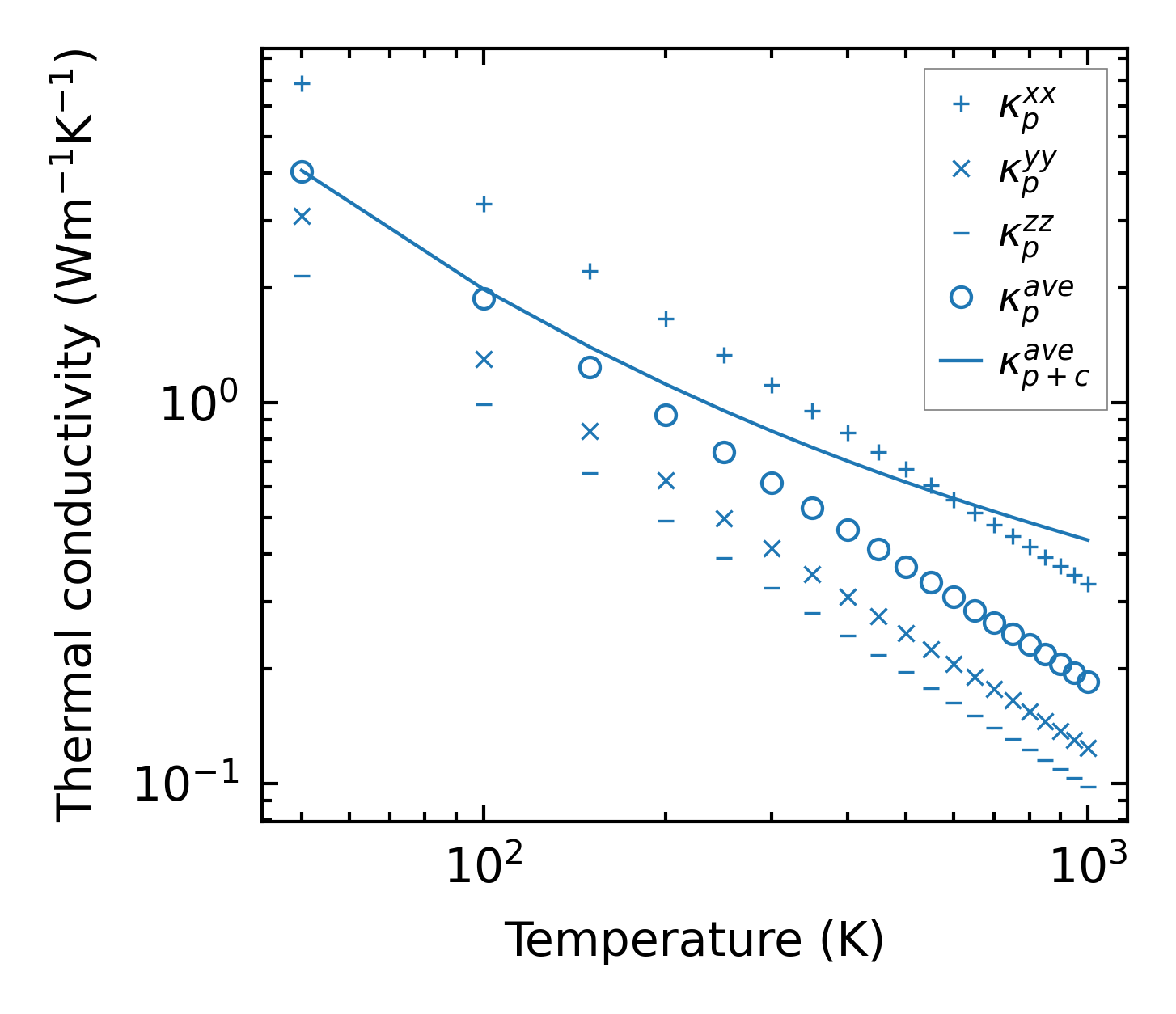
Thermal conductivity

3-phonon (LASSO) — q-mesh: 12x12x6, supercell: 4x1x1

../../_images/fig_kappa6327.png

(a) Temperature-dependent lattice thermal conductivity

../../_images/fig_kappa_vs_grain_size3385.png

(b) Peierls lattice thermal conductivity w.r.t grain size

Phonon lifetime and scattering rates

../../_images/fig_lifetime3312.png

(a) Phonon lifetime due to phonon-phonon scattering

../../_images/fig_scat_rates3311.png

(b) Phonon scattering rates

Cumulative and spectral thermal conductivity

../../_images/fig_cumu_frequency3312.png

(a) Spectral and cumulative thermal conductivity w.r.t frequency

../../_images/fig_cumu_mfp3311.png

(b) Spectral and cumulative thermal conductivity w.r.t MFP

Force constants

../../_images/fig_fc27876.png

(a) Force constants w.r.t atomic distance

Summary

../../_images/fig_kappa6328.png

(a) Temperature-dependent lattice thermal conductivity

../../_images/fig_times14296.png

(b) Computation time