mp-558350/Zn2TeBr2O3/anharm

Equation of state

../../_images/fig_bm4115.png

(a) Equation of state

Harmonic properties

../../_images/fig_bandos_pr8004.png

(a) Phonon dispersion with participation ratio and DOS

../../_images/fig_bandos11257.png

(b) Phonon dispersion and DOS

../../_images/fig_thermo8004.png

(c) Thermodynamic properties

Grüneisen parameters

../../_images/fig_gru_all3307.png

(a) Grüneisen parameters

../../_images/fig_gruneisen3307.png

(b) Phonon dispersion with Grüneisen parameters

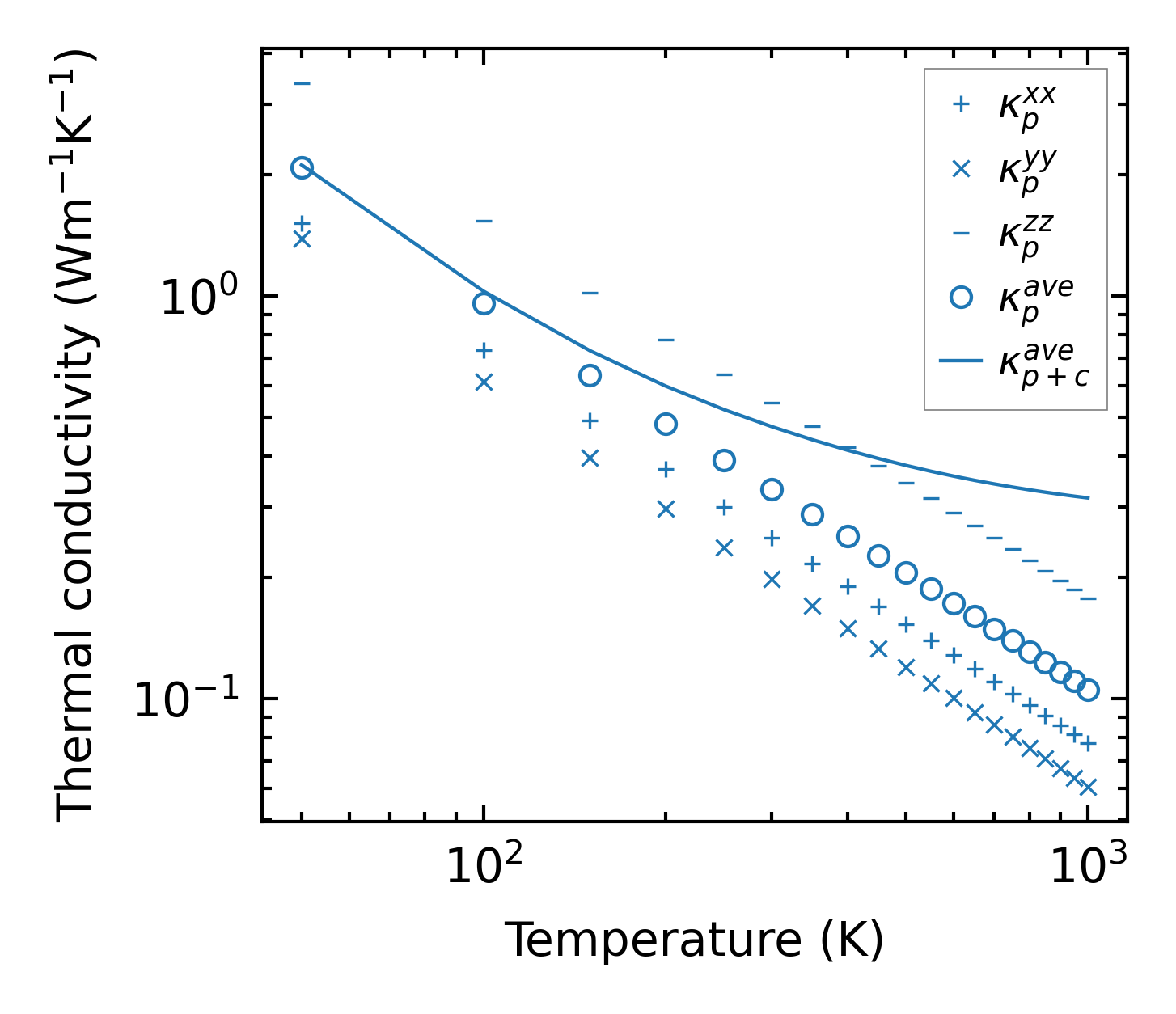
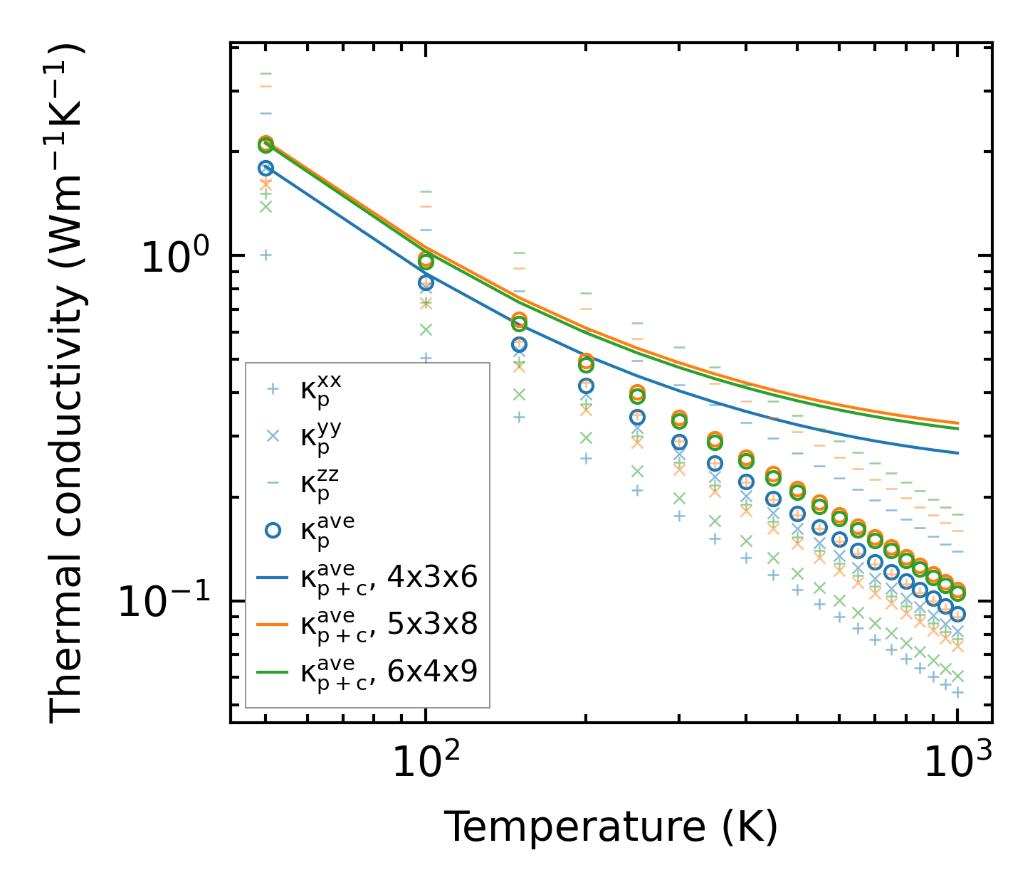
Thermal conductivity

3-phonon (LASSO) — q-mesh: 6x4x9, supercell: 1x1x2

../../_images/fig_kappa6264.png

(a) Temperature-dependent lattice thermal conductivity

../../_images/fig_kappa_vs_grain_size3351.png

(b) Peierls lattice thermal conductivity w.r.t grain size

Phonon lifetime and scattering rates

../../_images/fig_lifetime3279.png

(a) Phonon lifetime due to phonon-phonon scattering

../../_images/fig_scat_rates3278.png

(b) Phonon scattering rates

Cumulative and spectral thermal conductivity

../../_images/fig_cumu_frequency3279.png

(a) Spectral and cumulative thermal conductivity w.r.t frequency

../../_images/fig_cumu_mfp3278.png

(b) Spectral and cumulative thermal conductivity w.r.t MFP

Force constants

../../_images/fig_fc27766.png

(a) Force constants w.r.t atomic distance

Summary

../../_images/fig_kappa6265.png

(a) Temperature-dependent lattice thermal conductivity

../../_images/fig_times14114.png

(b) Computation time