mp-558642/Sr3BiCl3O3/anharm

Harmonic properties

../../_images/fig_bandos_pr8067.png

(a) Phonon dispersion with participation ratio and DOS

../../_images/fig_thermo8067.png

(b) Thermodynamic properties

Grüneisen parameters

../../_images/fig_gru_all3330.png

(a) Grüneisen parameters

../../_images/fig_gruneisen3330.png

(b) Phonon dispersion with Grüneisen parameters

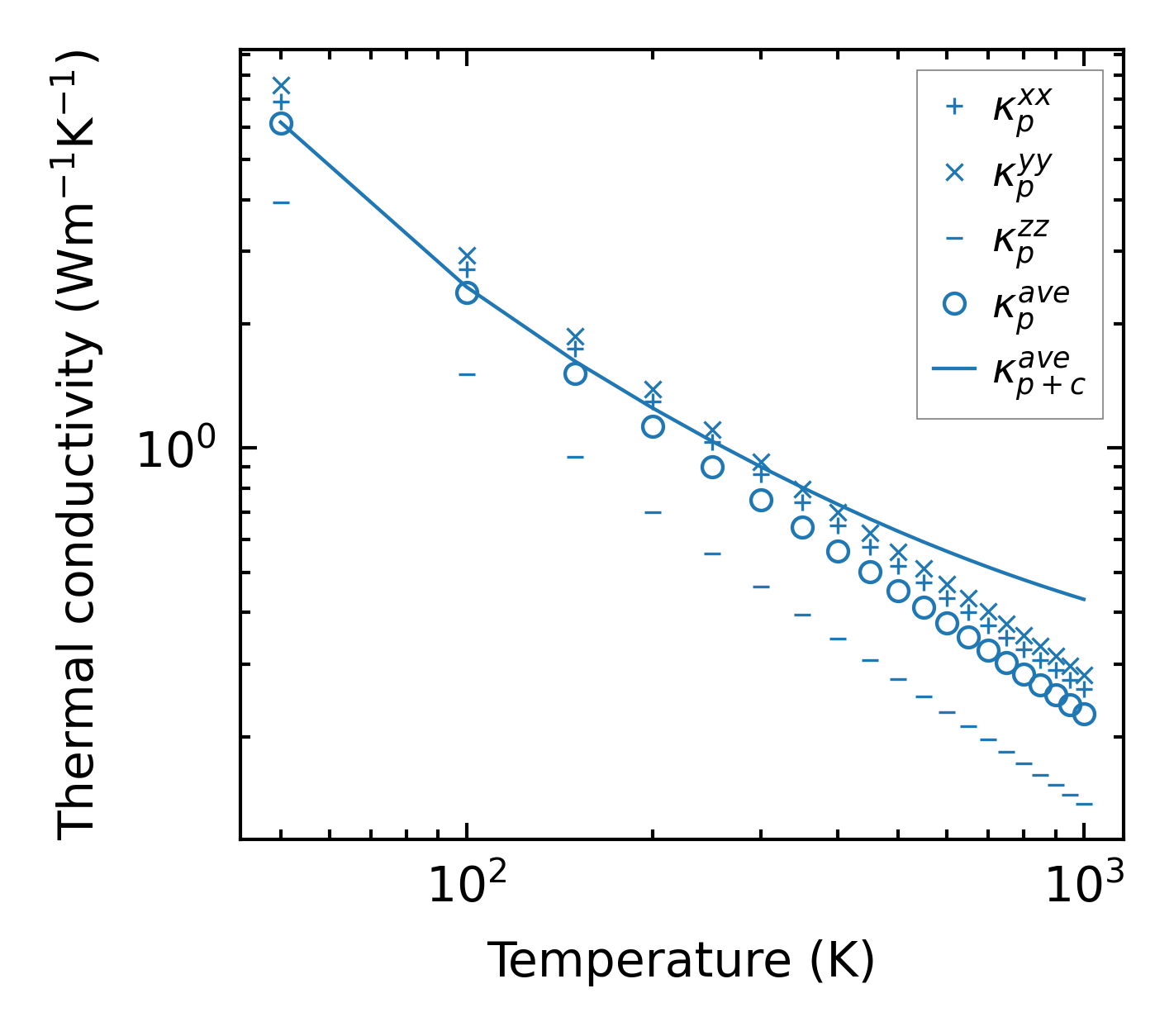
Thermal conductivity

3-phonon (LASSO) — q-mesh: 10x6x6, supercell: 2x1x1

../../_images/fig_kappa6304.png

(a) Temperature-dependent lattice thermal conductivity

../../_images/fig_kappa_vs_grain_size3373.png

(b) Peierls lattice thermal conductivity w.r.t grain size

Phonon lifetime and scattering rates

../../_images/fig_lifetime3300.png

(a) Phonon lifetime due to phonon-phonon scattering

../../_images/fig_scat_rates3299.png

(b) Phonon scattering rates

Cumulative and spectral thermal conductivity

../../_images/fig_cumu_frequency3300.png

(a) Spectral and cumulative thermal conductivity w.r.t frequency

../../_images/fig_cumu_mfp3299.png

(b) Spectral and cumulative thermal conductivity w.r.t MFP

Force constants

../../_images/fig_fc27829.png

(a) Force constants w.r.t atomic distance

Summary

../../_images/fig_kappa6305.png

(a) Temperature-dependent lattice thermal conductivity

../../_images/fig_times14216.png

(b) Computation time