mp-559969/CaLaGaO4/anharm

Harmonic properties

../../_images/fig_bandos_pr7719.png

(a) Phonon dispersion with participation ratio and DOS

../../_images/fig_bandos10837.png

(b) Phonon dispersion and DOS

../../_images/fig_thermo7719.png

(c) Thermodynamic properties

Grüneisen parameters

../../_images/fig_gru_all3226.png

(a) Grüneisen parameters

../../_images/fig_gruneisen3226.png

(b) Phonon dispersion with Grüneisen parameters

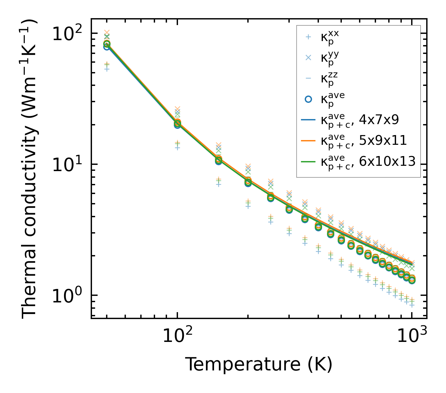
Thermal conductivity

3-phonon (LASSO) — q-mesh: 6x10x13, supercell: 1x2x2

../../_images/fig_kappa6110.png

(a) Temperature-dependent lattice thermal conductivity

../../_images/fig_kappa_vs_grain_size3268.png

(b) Peierls lattice thermal conductivity w.r.t grain size

Phonon lifetime and scattering rates

../../_images/fig_lifetime3198.png

(a) Phonon lifetime due to phonon-phonon scattering

../../_images/fig_scat_rates3197.png

(b) Phonon scattering rates

Cumulative and spectral thermal conductivity

../../_images/fig_cumu_frequency3198.png

(a) Spectral and cumulative thermal conductivity w.r.t frequency

../../_images/fig_cumu_mfp3197.png

(b) Spectral and cumulative thermal conductivity w.r.t MFP

Force constants

../../_images/fig_fc27482.png

(a) Force constants w.r.t atomic distance

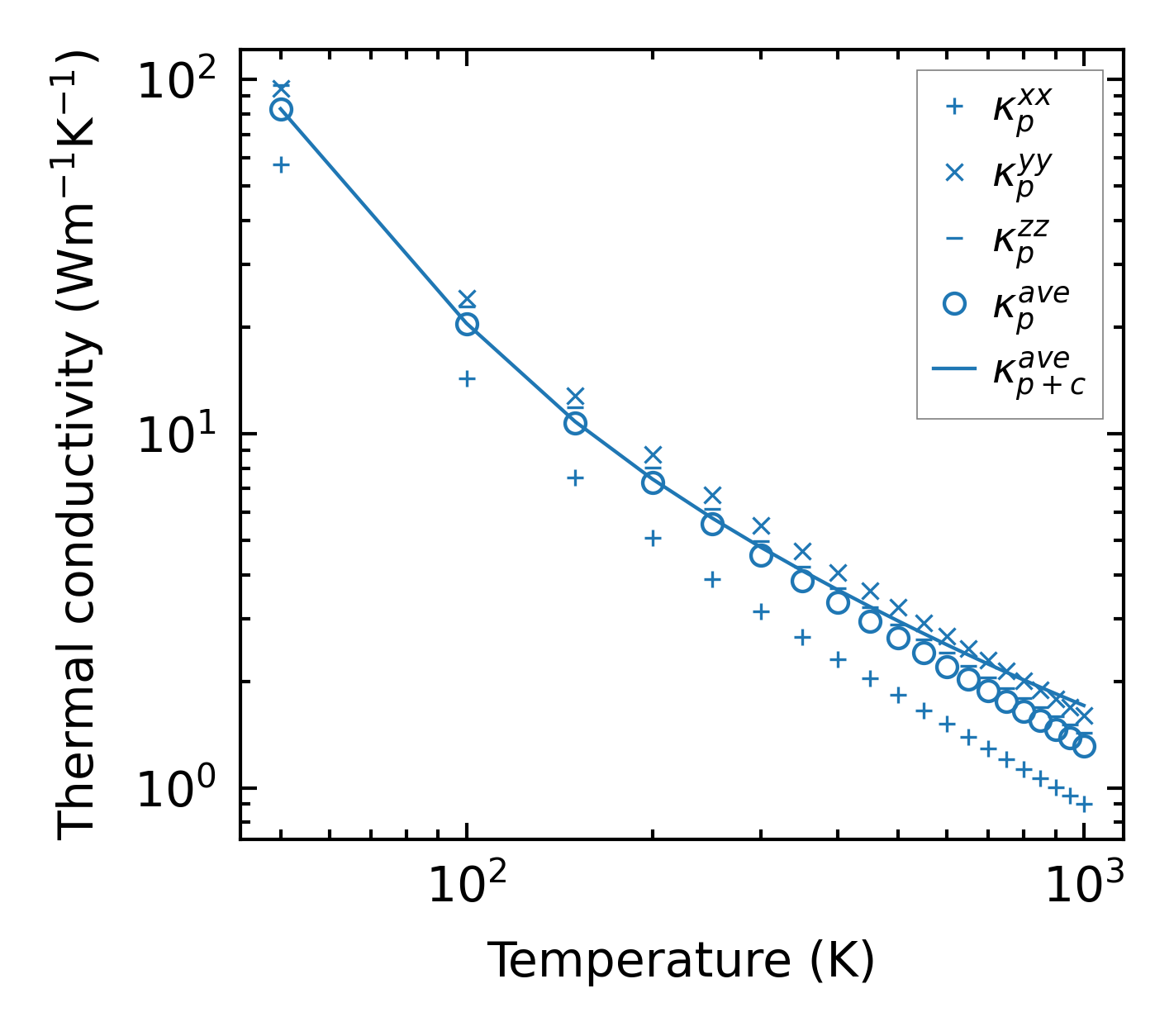
Summary

../../_images/fig_kappa6111.png

(a) Temperature-dependent lattice thermal conductivity

../../_images/fig_times13629.png

(b) Computation time