mp-559766/Cs3LiF4/anharm

Harmonic properties

../../_images/fig_bandos_pr7671.png

(a) Phonon dispersion with participation ratio and DOS

../../_images/fig_thermo7671.png

(b) Thermodynamic properties

Grüneisen parameters

../../_images/fig_gru_all3209.png

(a) Grüneisen parameters

../../_images/fig_gruneisen3209.png

(b) Phonon dispersion with Grüneisen parameters

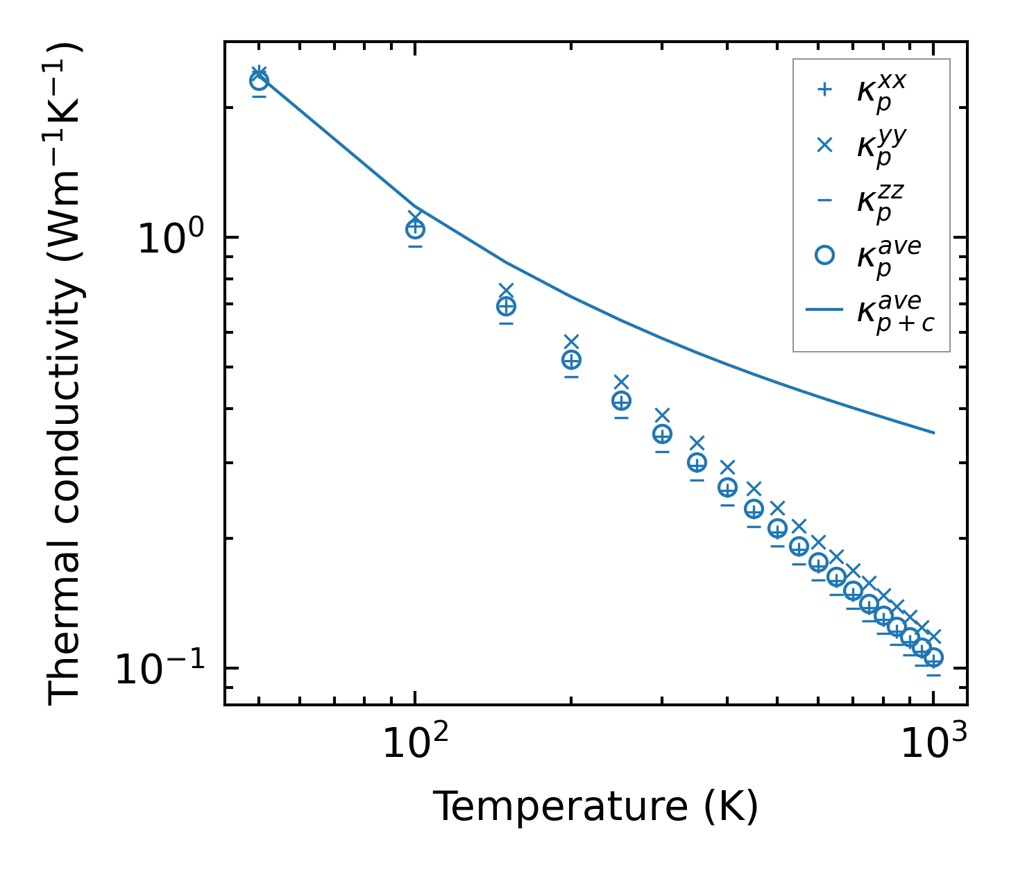
Thermal conductivity

3-phonon (LASSO) — q-mesh: 10x10x9, supercell: 1x2x2

../../_images/fig_kappa6077.png

(a) Temperature-dependent lattice thermal conductivity

../../_images/fig_kappa_vs_grain_size3250.png

(b) Peierls lattice thermal conductivity w.r.t grain size

Phonon lifetime and scattering rates

../../_images/fig_lifetime3181.png

(a) Phonon lifetime due to phonon-phonon scattering

../../_images/fig_scat_rates3180.png

(b) Phonon scattering rates

Cumulative and spectral thermal conductivity

../../_images/fig_cumu_frequency3181.png

(a) Spectral and cumulative thermal conductivity w.r.t frequency

../../_images/fig_cumu_mfp3180.png

(b) Spectral and cumulative thermal conductivity w.r.t MFP

Force constants

../../_images/fig_fc27434.png

(a) Force constants w.r.t atomic distance

Summary

../../_images/fig_kappa6078.png

(a) Temperature-dependent lattice thermal conductivity

../../_images/fig_times13555.png

(b) Computation time