mp-559639/K4UP2O10/anharm

Harmonic properties

../../_images/fig_bandos_pr7644.png

(a) Phonon dispersion with participation ratio and DOS

../../_images/fig_thermo7644.png

(b) Thermodynamic properties

Grüneisen parameters

../../_images/fig_gru_all3201.png

(a) Grüneisen parameters

../../_images/fig_gruneisen3201.png

(b) Phonon dispersion with Grüneisen parameters

Thermal conductivity

3-phonon (LASSO) — q-mesh: 10x10x6, supercell: 2x2x1

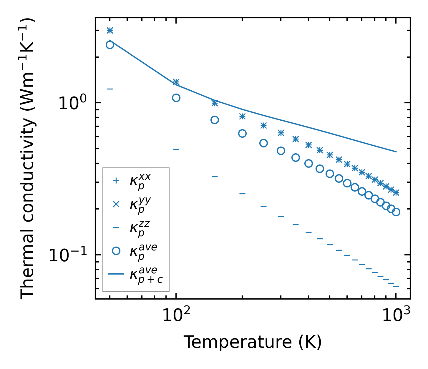
../../_images/fig_kappa6061.png

(a) Temperature-dependent lattice thermal conductivity

../../_images/fig_kappa_vs_grain_size3242.png

(b) Peierls lattice thermal conductivity w.r.t grain size

Phonon lifetime and scattering rates

../../_images/fig_lifetime3173.png

(a) Phonon lifetime due to phonon-phonon scattering

../../_images/fig_scat_rates3172.png

(b) Phonon scattering rates

Cumulative and spectral thermal conductivity

../../_images/fig_cumu_frequency3173.png

(a) Spectral and cumulative thermal conductivity w.r.t frequency

../../_images/fig_cumu_mfp3172.png

(b) Spectral and cumulative thermal conductivity w.r.t MFP

Force constants

../../_images/fig_fc27407.png

(a) Force constants w.r.t atomic distance

Summary

../../_images/fig_kappa6062.png

(a) Temperature-dependent lattice thermal conductivity

../../_images/fig_times13508.png

(b) Computation time